Lexikon der Biochemie: Benzochinone
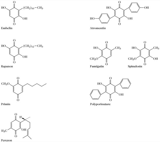
Benzochinone, von p-Benzochinon (Abb. 1) abgeleitete Verbindungen, die zur Gruppe der in der Natur weit verbreiteten Chinone gehören. Im Tierreich finden sich p-Benzochinon sowie Mono-, Di- und Trimethylbenzochinon, Ethyl-, Methoxy- und 2-Methoxy-3-methylbenzochinon als Wehrsekrete bestimmter Arthropoden. Über 90 verschiedene B. sind aus höheren Pflanzen sowie niederen und höheren Pilzen, besonders Schimmelpilzen, isoliert worden. Bekannte pflanzliche B. (Abb. 2) sind das hautreizende, goldgelbe Primin (F. 62-63°C) der Becherprimel (Primula obconica); das goldgelbe Perezon (F. 102-103°C) aus verschiedenen mexikanischen Perezia-Arten; das orangefarbene Embelin (F. 142-143°C) mit antihelminthischer und antibiotischer Wirkung und das orangefarbene Rapanon (F. 142-143°C). Embelin und Rapanon sind in zahlreichen Myrsinaceen enthalten. Zu den pilzlichen B. zählen folgende Verbindungen: das kastanienbraune Fumigatin (F. 116°C), das von Aspergillus fumigatus und Penicillium spinulosum gebildet und in das Kulturmedium ausgeschieden wird; die bronzefarbene Polyporinsäure (F. 310-312°C), die von dem parasitären Pilz Polyporus nidulans gebildet wird; das bronzefarbene Atromentin, das vor allem in Paxillus atromentosus entsteht; das purpurrote Spinulosin (F. 203°C) von Penicillium-Arten und Aspergillus fumigatus. Die für die Elektronenübertragung innerhalb der Atmungskette notwendigen Chinone mit isoprenoider Seitenkette (Ubichinone bzw. Plastochinone) enthalten ebenfalls einen charakteristischen und für die Funktion notwendigen Benzochinonring.

Benzochinone.Abb. 1.p-Benzochinon.

Benzochinone.Abb. 2. Einige natürlich vorkommende Benzochinone.
Wenn Sie inhaltliche Anmerkungen zu diesem Artikel haben, können Sie die Redaktion per E-Mail informieren. Wir lesen Ihre Zuschrift, bitten jedoch um Verständnis, dass wir nicht jede beantworten können.