Lexikon der Biochemie: Biotenside
Biotenside, (engl. biosurfactants), eine Gruppe ober- und grenzflächenaktiver Substanzen, die in Abhängigkeit von der Kohlenstoffquelle und der Wachstumsphase von verschiedenen Mikroorganismen gebildet werden. B. werden entweder in das Kulturmedium ausgeschieden oder bleiben zellgebunden. Eine Überproduktion wird im Allgemeinen erst nach Erreichen der stationären Wachstumsphase (z.B. Limitation der N-Quelle oder/und zweiwertiger Kationen, wie Fe2+, Ca2+ bzw. Mg2+) erreicht.
Die B. gehören unterschiedlichen Stoffklassen an. Neben Lipopolysacchariden, Lipoproteinen, Peptidlipiden (z.B. Surfactin), Mycolsäuren oder Ornithinlipiden machen die Glycolipide (Tab.) die größte Stoffklasse aus.
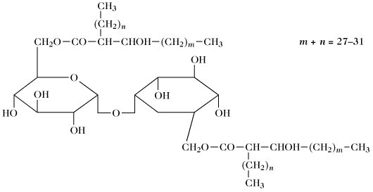
Verschiedene Trehaloselipide besitzen am zweiten Glucosemolekül in 6-Stellung keine Mycolsäure. Neben dem dargestellten Rhamnolipid R 1 (Tab.), welches aus einem Molekül Rhamnose und zwei Molekülen β-Hydroxydecansäure besteht, werden in Abhängigkeit von den Wachstumsbedingungen ein Rhamnolipid R 2 (je ein Rhamnose- und β-Hydroxydecansäure-Molekül), R 3 (Relation 2 : 2) und R 4 (Relation 2 : 1) nachgewiesen.
Trotz unterschiedlicher Strukturen ist allen B. der Besitz eines hydrophilen (Zucker, eine oder mehrere Aminosäuren, Phosphatgruppe) und eines hydrophoben (längerkettige, funktionalisierte Carbonsäure) Molekülanteils gemeinsam.
Neben der Oberflächen- und Grenzflächenspannung dienen der HLB-Wert und der CMC-Wert zur Charakterisierung der B.
Aufgrund des breiten Spektrums der zur Verfügung stehenden Substanzen, ihrer vielversprechenden physikalischen und chemischen Eigenschaften, ihrer biologischen Wirksamkeit sowie ihrer guten biologischen Abbaubarkeit gewinnen B. in der Industrie zunehmend an Bedeutung.
Neben einer potenziellen Verwendung zum Benetzen, Lösen, zur Schaumbildung, als Detergens, zur Herstellung oder zum Zerstören von Emulsionen ist ein Einsatz der B. bzw. biotensidproduzierender Mikroorganismen in der tertiären Erdölförderung von besonderer Bedeutung.
Von den eigentlichen B. abzugrenzen sind die zellgebundenen und extrazellulären amphiphilen Biopolymere, die im Gegensatz zu den B. die Oberflächenspannung nicht herabsetzen und vor allem wegen ihrer emulsionsstabilisierenden Wirkung von Bedeutung sind.
Biotenside. Tab. Mikrobielle Glycolipide.
| ||
| Trehaloselipide1) (verschiedene Strukturen) nichtionogen, zellwandgebunden | ![]() | |
| Rhamnolipide2) (verschiedene Strukturen) anionisch, extrazellulär | ![]() | |
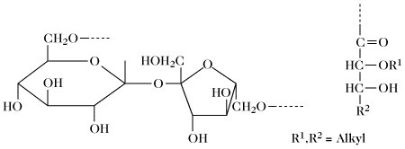
| Sophoroselipide (verschiedene Strukturen) nichtionogen (Lactonform), anionisch (Säureform), extrazellulär | ![]() | |
| Mannoseerythritollipide nichtionogen, extrazellulär | ![]() | |
| Saccharoselipide nichtionogen, extrazellulär | ![]() |
1)Verschiedene Trehaloselipide besitzen am zweiten Glucosemolekül in 6-Position keine Mycolsäure (α-verzweigte – β-hydroxylierte Fettsäure unterschiedlicher Kettenlänge).
2) Neben dem dargestellten Rhamnolipid R1, welches aus einem Molekül Rhamnose und 2 Molekülen β-Hydroxydecansäure besteht, wurden in Abhängigkeit von den Wachstumsbedingungen ein Rhamnolipid R2 (je ein Rhamnose- und β-Hydroxydecansäure-Molekül), R3 (Relation 2 : 2) und R4 (Relation 2 : 1) nachgewiesen.





Wenn Sie inhaltliche Anmerkungen zu diesem Artikel haben, können Sie die Redaktion per E-Mail informieren. Wir lesen Ihre Zuschrift, bitten jedoch um Verständnis, dass wir nicht jede beantworten können.