Lexikon der Biochemie: Biphenomycine
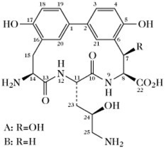
Biphenomycine, zyklische Tripeptide aus den Kulturfiltraten von Streptomyces griseorubiginosus mit starker antibotischer Wirkung gegen gram-positive, β-lactamresistente Bakterien. Ebenso wie Cyclopeptide, die zur Gruppe der Vancomycine (Vancomycin) gehören, enthalten die B. ein Biphenylstrukturelement (Abb.). Im B. B sind mit dem (2S,4R)-Hydroxyornithin und dem (S,S)-Diisotyrosin zwei nichtproteinogene Aminosäuren enthalten. Anstelle des (S,S)-Diisotyrosins findet man im B. A die Biphenylstruktur in Form eines Dimers aus (S)-o-Hydroxyphenylalanin und (2S,3R)-o-Hydroxyphenylserin. [U. Schmidt et al. J. Chem. Soc. Chem. Commun. 13 (1992) 951]

Biphenomycine
Copyright 1999 Spektrum Akademischer Verlag, Heidelberg
Wenn Sie inhaltliche Anmerkungen zu diesem Artikel haben, können Sie die Redaktion per E-Mail informieren. Wir lesen Ihre Zuschrift, bitten jedoch um Verständnis, dass wir nicht jede beantworten können.