Lexikon der Biochemie: Bradford-Assay
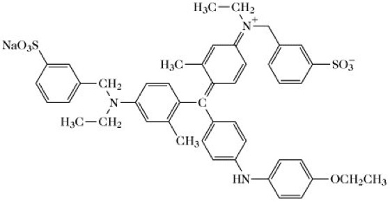
Bradford-Assay, eine quantitative Färbe-Methode für die Anfärbung von Proteinen in Elektrophorese-Gelen unter Verwendung von Coomassie-Brilliantblau G-250 (Abb.). Zur Durchführung des B. wird eine Stammlösung aus Farbstoff, Ethanol und Phosphorsäure im Verhältnis 20 bis 50 : 1 zur Probelösung gegeben. Nach 10 min bei Raumtemperatur wird die Absorption bei 595nm gemessen. Das Absorptionsmaximum von Coomassie-Brilliantblau G-250 verschiebt sich in Gegenwart von Proteinen unter sauren Bedingungen von 465nm zu 595nm.

Bradford-Assay. Coomassie-Brilliantblau G-250.
Copyright 1999 Spektrum Akademischer Verlag, Heidelberg
Wenn Sie inhaltliche Anmerkungen zu diesem Artikel haben, können Sie die Redaktion per E-Mail informieren. Wir lesen Ihre Zuschrift, bitten jedoch um Verständnis, dass wir nicht jede beantworten können.