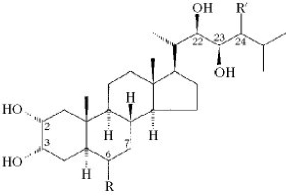
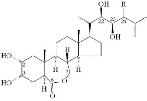
Brassinosteroide, eine Klasse wachstumsfördernder Steroide, die in höheren Pflanzen weit verbreitet sind (Pollen und Samen 1-1.000 ng/kg; Triebe 100 ng/kg; Früchte und Blätter 1-10 ng/kg) und auch in niederen Pflanzen, einschließlich der Cyanobakterien, gefunden wurden. Das erste B. wurde 1979 aus Rapspollen (Brassica napus) isoliert: das Brassinolid (2α,3α,22(R),23(R)-Tetrahydroxy-24(S)-methyl-B-homo-7-oxa-5α-cholestan-6-on) [M.D. Grove et al. Nature281 (1979) 216-217]. Bis jetzt sind ungefähr 30 natürlich vorkommende B. bekannt und es wurde eine Reihe von Analoga synthetisiert. Im "zweites Bohneninternodium"-Wachstumstest, der die "Brassinaktivität" von der Aktivität anderer Hormone differenziert, wurden die Analoga getestet und damit die strukturellen Eigenschaften aufgezeigt, die für die einzigartige biologische Aktivität der B. benötigt werden. Im Einzelnen sind dies: 1) ein cis-vicinaler Glycolteil an C2/C3, 2) eine trans-Verbindung zwischen den Ringen A und B, 3) eine Sauerstofffunktion an C6 in Form eines Ketons oder Lactons, 4) ein vicinaler Glycolteil an C22/C23 (für eine maximale Aktivität sollte an beiden Kohlenstoffatomen eine R-Konfiguration vorliegen, d.h. beide Hydroxylgruppen sollten nach der modifizierten Fischerformel α-orientiert sein) und 5) eine kurze Alkylgruppe an C24, die die 24S-Konfiguration bewirkt (d.h. α-orientiert ist); die Aktivität nimmt in der Reihenfolge Me > Et > H ab. Beim "zweites Bohneninternodium" Bioassay wird die in Lanolin dispergierte Testverbindung auf das zweite (ca. 2mm lange) Internodium eines sechs Tage alten Phaseolus vulgaris-Keimlings gestrichen. Die Brassinosteroidaktivität wird durch eine Verlängerung, Krümmung, Verdickung und Spaltung des Internodiums angezeigt, die nach vier Tagen sichtbar wird. Obwohl es erwiesen ist, dass B. das Wachstum durch eine Kombination von Zellteilung und Vergrößerung in jungen wachsenden Geweben, besonders Meristemen, fördern und diese Ergebnisse auf Pflanzen übertragen werden können, ist ihre physiologische Rolle nicht klar. Da B. in niedrigen Konzentrationen (1-100 μg/l) auf Pflanzen wachstumsfördernd wirken, wird ihre Einsatzmöglichkeit in der Landwirtschaft getestet. Über ihre Biosynthese ist wenig bekannt. Möglicherweise stammen sie von gewöhnlichen Pflanzensterinen ab, die durch Hydroxylierungen und im Fall der Ring B-Lactone durch eine Art Baeyer-Villiger-Oxidation eines 6-Oxosteroids derivatisiert werden (Tab. 1 und Tab. 2). [N.B. Mandava Annu. Rev. Pl. Physiol Pl. Mol. Biol. 39 (1988) 23-52; H.G. Cutleret et al. (Hrsg.) Brassinosteroids: chemistry, bioactivity and applications, ACS Symposium Series No. 474 (1991), American Chemical Society, Washington, DC]
Brassinosteroide. Tab. 1.
Brassinosteroide. Tab. 2.
Wenn Sie inhaltliche Anmerkungen zu diesem Artikel haben, können Sie die Redaktion per E-Mail informieren. Wir lesen Ihre Zuschrift, bitten jedoch um Verständnis, dass wir nicht jede beantworten können.