Lexikon der Biochemie: Buxus-Alkaloide
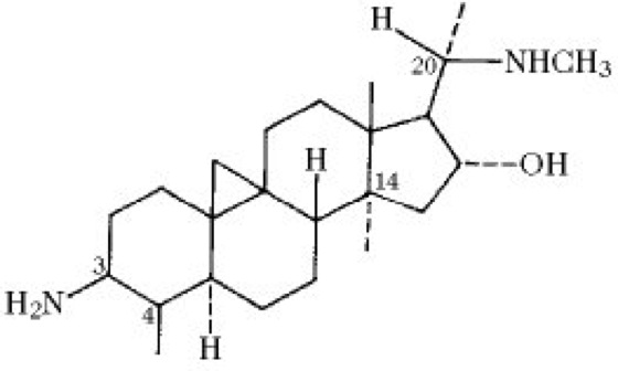
Buxus-Alkaloide, Steroidalkaloide, die als charakteristische Inhaltsstoffe in Pflanzen der Buchsbaumgewächse (Buxaceae) vorkommen. Die B. lassen sich strukturell vom Pregnan (Steroide) mit zusätzlichen Methylgruppen an Position 4 und 14 ableiten, haben an den C-Atomen 3 und 20 Amino- bzw. methylierte Aminofunktionen und weisen meist eine 16α-Hydroxylgruppe sowie einen 9,10-Cyclopropanring auf (Abb.). Die Biosynthese der Buxus-Alkaloide erfolgt über Cycloartenol oder eine ähnliche triterpenoide Vorstufe.

Buxus-Alkaloide. Cyclobuxamid H.
Copyright 1999 Spektrum Akademischer Verlag, Heidelberg
Wenn Sie inhaltliche Anmerkungen zu diesem Artikel haben, können Sie die Redaktion per E-Mail informieren. Wir lesen Ihre Zuschrift, bitten jedoch um Verständnis, dass wir nicht jede beantworten können.