Lexikon der Biochemie: Calciumantagonisten
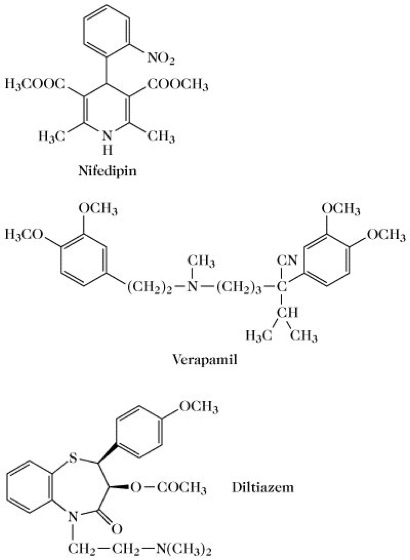
Calciumantagonisten, besser Calciumkanalblocker, Herzmittel, die den transmembranären Einstrom von Calcium-Ionen durch den sog. Calciumkanal in den Herzmuskel und damit den O2-Verbrauch des Herzens durch Herabsetzung des Tonus und der Kontraktionskraft hemmen. Dazu gehören Verbindungen der Dihydropyridin-, der Verapamil- und der Diltiazem-Gruppe. Erstes Produkt der Dihydropyridin-Gruppe war Nifedipin, das am Dihydropyridinring symmetrisch substituiert ist (Abb.) und leicht durch eine intramolekulare Redoxreaktion unter Aromatisierung des Dihydropyridinringes und Reduktion der Nitro- zu Nitrosogruppe zersetzt wird. Folgeprodukte sind unsymmetrisch substituiert und enthalten Substituenten anderer Art und an anderer Stelle des Benzolringes. Verapamil ist ein mit Aralkylresten substituiertes Amin und Diltiazem ein Benzo-1,5-diazepin (Abb.).

Calciumantagonisten
Wenn Sie inhaltliche Anmerkungen zu diesem Artikel haben, können Sie die Redaktion per E-Mail informieren. Wir lesen Ihre Zuschrift, bitten jedoch um Verständnis, dass wir nicht jede beantworten können.