Lexikon der Biochemie: Cellulose
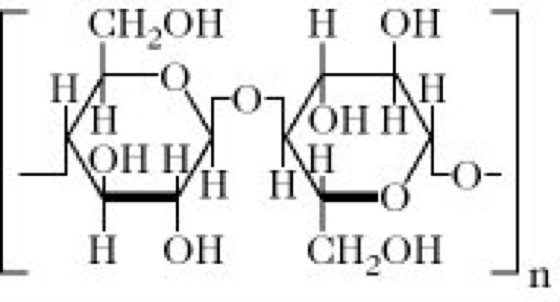
Cellulose, ein unverzweigtes pflanzliches Polysaccharid – Mr 300-500 kDa; Summenformel (C6H10O5)n –, das aus β-1→4-glycosidisch verbundenen Glucoseeinheiten besteht (Abb.). Durch Enzyme wird Cellulose zum Disaccharid Cellobiose hydrolysiert. Bei der Behandlung von C. mit konzentrierten Säuren, z.B. 40 %iger Salzsäure oder 60-70 %iger Schwefelsäure oder mit verdünnten Säuren bei erhöhter Temperatur wird C. in D-Glucose gespalten. Bei diesem als Holzverzuckerung bezeichneten Prozess wird C. in gärfähigen Zucker überführt.
C. stellt den Hauptbestandteil der pflanzlichen Zellwände dar. Bestimmte Pflanzenfasern, wie Baumwolle, Hanf, Flachs und Jute, bestehen aus fast reiner C.; Holz dagegen enthält 40-60 % C. In der Zellwand ist die C. in Mikrofibrillen angeordnet, in denen die Celluloseketten parallel verlaufen und durch Wasserstoffbrückenbindungen zwischen den Ketten stabilisiert werden. Die Mikrofibrillen sind in einer Matrix aus anderen Polysacchariden, wie z.B. Pektin, Hemicellulose und Lignin und kleinen Mengen des Proteins Extensin, eingebettet.
Die C.-Mikrofibrillen sind quer zur Längsachse von Zellen, die in die Länge wachsen, angeordnet, wobei eine relativ große Winkeldispersion vorliegt. In dickeren Wänden bilden sie helicale Lamellen, deren Anstieg sich von einer Lamelle zur nächsten ändert.
Die im Pflanzenreich weit verbreitete C. ist mengenmäßig der bedeutendste Naturstoff. Die Gesamtmenge an C. auf der Erde entspricht etwa 50 % des in der Atmosphäre vorhandenen Kohlendioxids. Vom pflanzlichen Stoffwechsel werden jährlich etwa 10 Billionen Tonnen C. gebildet. Celluloseabbauende Enzyme (Cellulasen) sind in niederen Pflanzen, holzzerstörenden Pilzen, Termiten und einigen Schnecken enthalten. Der Mensch und fleischfressende Tiere sind nicht zum Celluloseabbau befähigt, so dass C. für die Ernährung einen Ballaststoff darstellt. Wiederkäuer und verschiedene Nagetiere haben zur Celluloseverwertung ein besonderes Verdauungssystem mit symbiotischen Bakterien. C. wird vorwiegend aus Holz oder Stroh durch saure (Sulfitverfahren) oder alkalische (Sulfatverfahren) Hydrolyse gewonnen. Sie wird zur Herstellung von Papier, Textilien, Kunststoffen, Sprengstoffen, Tierfutter und Fermentationsprodukten verwendet. Industrielle Bedeutung haben insbesondere Derivate der C., wie Ether, Ester und Xanthogenate.

Cellulose
Wenn Sie inhaltliche Anmerkungen zu diesem Artikel haben, können Sie die Redaktion per E-Mail informieren. Wir lesen Ihre Zuschrift, bitten jedoch um Verständnis, dass wir nicht jede beantworten können.