Lexikon der Biochemie: Cembrane
Cembrane,Cembranoide, monozyklische Diterpene, die aus verschiedenen Pflanzen isoliert wurden, insbesondere aus dem Gummiharz der Kiefern.
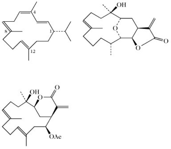
Das Cembrangrundgerüst (1-Isopropyl-4,8,12-trimethylcyclotetradecan bzw. Octahydrocembran) besteht aus einem 14gliedrigen, carbozyklischen Ring mit einer Isopropylgruppe an Position 1 und drei Methylgruppen an den Positionen 4, 8 und 12 (Abb.). Das Cembran selbst kommt nicht natürlich vor. Das Cembren wurde aus dem Oleoresin der Pinien und das Eunicin aus der karibischen Gorgonarienart Eunicea mammosa isoliert. Das Cembren A (Neocembren) [-C(CH3)=CH2 an Position 1] kann aus dem Gummiharz der Commiphora mukul gewonnen werden und wird im ayurvedischen System (altindische Medizin aus der brahmanischen Epoche; Anm. der Übers.) als Medikament eingesetzt. Aus der gleichen Quelle erhält man Mukulol (3,7,11-Cembatrien-2-ol). Isocembren (keine 4,5-Doppelbindung und =CH2 an Position 4) kommt in Pinus sibirica vor. 2,7,11-Cembatrien-4-ol wurde aus verschiedenen Kiefernarten isoliert.
Das Crassinacetat aus der karibischen Gorgonarie Pseudoplexaura porosa scheint von deren Algensymbionten (Zooxanthellen) synthetisiert zu werden. Zellextrakte aus den Zooxanthellen bauen Mevalonsäure und Geranylpyrophosphat in Crassinacetat ein. [A.J. Weinheimer et al. Progress in the Chemistry of Organic Natural Poducts36 (1979) 285-387]

Cembrane. Strukturen einiger natürlich vorkommender Cembranderivate.
Wenn Sie inhaltliche Anmerkungen zu diesem Artikel haben, können Sie die Redaktion per E-Mail informieren. Wir lesen Ihre Zuschrift, bitten jedoch um Verständnis, dass wir nicht jede beantworten können.