Lexikon der Biochemie: Chitin
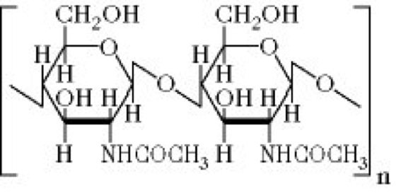
Chitin, ein stickstoffhaltiges Polysaccharid, das geradkettig β-1→4-glycosidisch aus N-Acetyl-D-glucosaminresten aufgebaut ist (Abb.). C. dient bei niederen Tieren als Gerüstsubstanz und stellt den Hauptbestandteil des Exoskeletts der Wirbellosen dar, z.B. im Panzer von Arthropoden, wie Insekten und Krebse. Es kommt auch als Zellwandsubstanz bei Algen, Pilzen und höheren Pflanzen vor. C. tritt im Allgemeinen mit anderen Polysacchariden, mit Proteinen oder anorganischen Salzen (Kalkeinlagerungen) vergesellschaftet auf. Chitinhydrolysierende Enzyme, wie z.B. die Chitinase (EC 3.2.1.14) und die Chitobiase (β-N-Acetyl-D-Glycosaminidase, EC 3.2.1.30) sind bei Mikroorganismen, Tieren und Pflanzen weit verbreitet. C. wird biosynthetisch aus UDP-N-Acetylglucosamin unter der katalytischen Wirkung der Chitin-Synthase (EC 2.4.1.16) aufgebaut.

Chitin
Wenn Sie inhaltliche Anmerkungen zu diesem Artikel haben, können Sie die Redaktion per E-Mail informieren. Wir lesen Ihre Zuschrift, bitten jedoch um Verständnis, dass wir nicht jede beantworten können.