Lexikon der Biochemie: Chondroitinsulfate
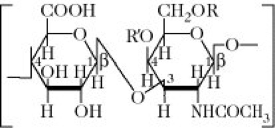
Chondroitinsulfate, hochmolekulare wasserlösliche Mucopolysaccharide tierischer Herkunft (Mr etwa 250 kDa). C. A und C sind aus äquimolaren Mengen von D-Glucuronsäure und N-Acetyl-D-galactosamin in alternierender β-1→3- und β-1→4-Verknüpfung aufgebaut (Abb.). Sie unterscheiden sich in der Position der Veresterung. C. B (Dermatansulfat) enthält L-Iduronsäure an Stelle der D-Glucuronsäure. Die C. sind Hauptbestandteil des Knorpelgewebes und betragen bis zu 40 % der Trockensubstanz. Sie kommen auch in Schutz-, Stütz- und Bindegeweben, wie Haut, Sehnen, Nabelschnur, Herzklappen vor. Im Gewebe liegen die C. nichtkovalent an Protein gebunden vor.

Chondroitinsulfat. Chondroitinsulfat A: R = H, R'= SO3H.
Copyright 1999 Spektrum Akademischer Verlag, Heidelberg
Wenn Sie inhaltliche Anmerkungen zu diesem Artikel haben, können Sie die Redaktion per E-Mail informieren. Wir lesen Ihre Zuschrift, bitten jedoch um Verständnis, dass wir nicht jede beantworten können.