Lexikon der Biochemie: Colchicum-Alkaloide
Colchicum-Alkaloide, Isochinolinalkaloide, bei denen der Stickstoff nicht zum heterozyklischen System gehört, sondern als substituierte Aminogruppe am trizyklischen Grundgerüst vorliegt. Letzteres besteht aus einem aromatischen Ring, einem Tropolonring und einem C7-Ring. Das Vorkommen der Colchicum-Alkaloide ist auf einige Gattungen der Familie der Liliengewächse (Liliaceae) beschränkt. Ihren Namen erhielten die Colchicum-Alkaloide aufgrund ihres Vorkommens in den Herbstzeitlosen (Colchicum autumnale). Die Hauptalkaloide sind Colchicin und dessen Glucosid Colchicosid sowie Demecolcin. Unter dem Einfluss von Licht kann sich der Tropolonring der C. in einen C4- und einen C5-Ring umlagern (Lumicolchicine).
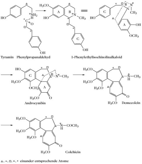
Die Biosynthese der Colchicum-Alkaloide verläuft über ein 1-Phenylethylisochinolinalkaloid, aus dem durch Hydroxylierungen und Methoxylierungen, Angriff von Phenol-Oxidasen und oxidative Kupplungen Androcymbin gebildet wird. Dieses geht in Demecolcin und weiter in Colchicin über (Abb.).

Colchicum-Alkaloide. Biosynthese von Colchicin.
Wenn Sie inhaltliche Anmerkungen zu diesem Artikel haben, können Sie die Redaktion per E-Mail informieren. Wir lesen Ihre Zuschrift, bitten jedoch um Verständnis, dass wir nicht jede beantworten können.