Lexikon der Biochemie: Cycloartenol
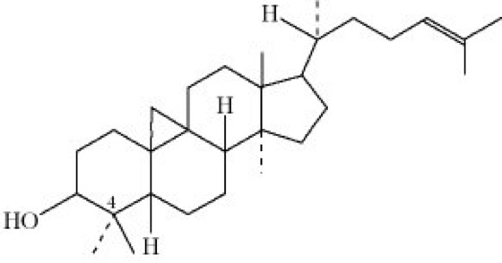
Cycloartenol, 9,19-Cyclo-5α,9β-lanost-24-en-3β-ol (Abb.), ein tetrazyklischer Triterpenalkohol; Mr 426,73Da, F. 115°C, [α]D 54°. C. tritt im Pflanzenreich weit verbreitet auf und wurde z.B. im Milchsaft von Wolfsmilchgewächsen (Euphorbiaceae), in der Kartoffel (Solanum tuberosum) und der Brechnuß (Strychnos nux vomica) nachgewiesen. Die Biosynthese erfolgt aus Squalen über 2,3-Epoxysqualen (Steroide, Abb. 6).

Cycloartenol
Copyright 1999 Spektrum Akademischer Verlag, Heidelberg
Wenn Sie inhaltliche Anmerkungen zu diesem Artikel haben, können Sie die Redaktion per E-Mail informieren. Wir lesen Ihre Zuschrift, bitten jedoch um Verständnis, dass wir nicht jede beantworten können.