Lexikon der Biochemie: Dabsylchlorid
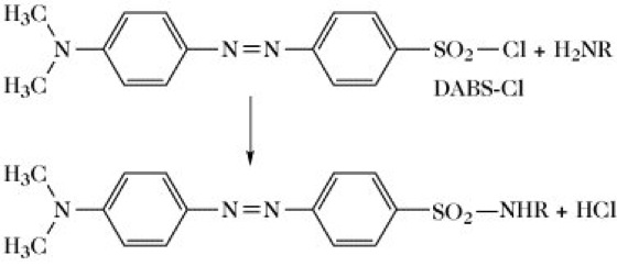
Dabsylchlorid, 4-Dimethylaminoazobenzol-4'-sulfonylchlorid, DABS-Cl, ein in der Aminosäureanalytik benutztes Reagens zur Derivatisierung von primären und sekundären Aminen (Abb.). Die Umsetzung erfolgt bei 70 °C und pH 9 innerhalb von 15min. Die über Wochen stabilen Derivate absorbieren im sichtbaren Bereich bei 436nm. Die Nachweisgrenze liegt bei etwa 1pmol. Nachteilig ist, daß es noch keine Automatisierung für die Verwendung von D. gibt und die Notwendigkeit des Einsatzes eines relativ exakten vierfachen Überschusses an Reagens bezogen auf die zu derivatisierenden Aminosäuren.

Dabsylchlorid
Copyright 1999 Spektrum Akademischer Verlag, Heidelberg
Wenn Sie inhaltliche Anmerkungen zu diesem Artikel haben, können Sie die Redaktion per E-Mail informieren. Wir lesen Ihre Zuschrift, bitten jedoch um Verständnis, dass wir nicht jede beantworten können.