Lexikon der Biochemie: Digitonin
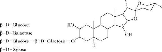
Digitonin, ein Gemisch aus vier verschiedenen Steroidsaponinen (Saponine), die aus Samen des roten Fingerhuts (Digitalis purpurea) gewonnen werden. Der Hauptbestandteil ist zu 70-80 % das eigentliche D. Mr 1.229,36Da, F. 235°C, [α] ![]()
-54° (c = 0,45g in 15,8ml Methanol), Abb.. Es besteht aus dem vom Spirostan abgeleiteten Aglycon Digitogenin, (25R)-5α-Spirostan-2α,3β,15β-triol, Mr 448,65Da, F. 296°C (Zers.), [α] ![]()
-81° (c = 1,4 in CHCl3), und einer Zuckerkette. D. ist ein starkes Hämolysegift, was auf seine Affinität zu Blutcholesterin zurückzuführen ist. Es wird wegen der Schwerlöslichkeit seiner Komplexverbindung mit Cholesterin und anderen Sterinen zu deren Abtrennung und quantitativen Bestimmung benutzt.

Digitonin. Alle Zuckerreste sind in der β-D-Konfiguration.
Wenn Sie inhaltliche Anmerkungen zu diesem Artikel haben, können Sie die Redaktion per E-Mail informieren. Wir lesen Ihre Zuschrift, bitten jedoch um Verständnis, dass wir nicht jede beantworten können.