Lexikon der Biochemie: Folsäure
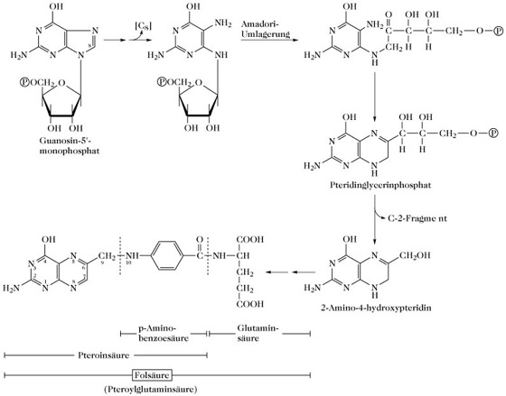
Folsäure, Pteroylglutaminsäure, ein Vitamin des B2-Komplexes, in dem Pteroinsäure mit L-Glutaminsäure säureamidartig verbunden ist (Abb.). Pteroinsäure (Vitamin H') ist aus 6-Methylpterin und 4-Aminobenzoesäure aufgebaut. F. ist in der Natur weit verbreitet und kommt vor allem in Leber, Hefe und Gemüse vor. In Pflanzen und Mikroorganismen liegen Folsäurekonjugate vor, bei denen bis zu sieben L-Glutaminsäurereste peptidartig an die γ-Carboxygruppe gebunden sind. F. wird synthetisch durch Kondensation von 6-Formyl-pterin mit N-(4-Aminobenzoyl)-L-glutaminsäure und Hydrierung der dabei entstehenden Azomethinstruktur dargestellt. Die biochemisch aktive Form der F. ist die Tetrahydrofolsäure (FH4), bei der die Doppelbindungen zwischen N-5- und C-6-Atom sowie zwischen C-7- und N-8-Atom hydriert sind. Sie wirkt in Form verschiedener Derivate als Coenzym von Enzymen, die Einkohlenstoffkörper (aktive Einkohlenstoff-Einheiten) übertragen. FH4 kann in den Positionen N5 und N10 Hydroxymethyl- und Formylgruppen tragen. Beispielsweise überträgt die Aminosäure L-Serin ihre Hydroxymethylgruppe auf FH4, wodurch N5,10-Methylen-FH4 und Glycin gebildet werden. Eine Kohlenstoffeinheit, die an FH4 gebunden ist, kann entweder oxidiert oder reduziert werden. So kann N5,10-Methylen-FH4 zu N5-Methyl-FH4 reduziert werden, welches in Methylierungsreaktionen als Methyldonor dient.
Beim Menschen kann eine Avitaminose weniger durch eine ungenügende Aufnahme als vielmehr durch gestörte Verwertung der F. auftreten. Sie äußert sich vor allem in verschiedenen Formen der Blutarmut (Megaloblastenanämie, Thrombocytopenie). F. wird zusammen mit Vitamin B12 bei der Therapie bestimmter Anämieformen verwendet, bei denen das Enzym fehlt, das aus F.-Konjugaten die Freisetzung von F. bewirkt. Als Antidot des Methotrexats bei der Krebstherapie wird Leucovorin, das Calciumsalz der Folinsäure (5-Formyltetrahydrofolsäure), verwendet. Folsäureantimetabolite sind Aminopterin und Amethopterin, die bei Leukämie therapeutisch eingesetzt werden. Die Sulfonamide sind Antimetabolite der p-Aminobenzoesäure und wirken daher als Hemmstoffe der bakteriellen Folsäurebiosynthese.

Folsäure. Biosynthese von Folsäure aus Guanosinmonoposphat.
Wenn Sie inhaltliche Anmerkungen zu diesem Artikel haben, können Sie die Redaktion per E-Mail informieren. Wir lesen Ihre Zuschrift, bitten jedoch um Verständnis, dass wir nicht jede beantworten können.