Lexikon der Biochemie: Fusidinsäure
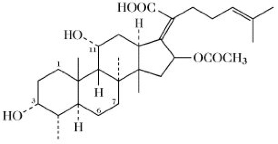
Fusidinsäure, ein tetrazyklisches Triterpenantibiotikum (Abb.); Mr 516,69Da, F. 192°C, [α]D -9°(CHCl3). F. wurde aus Kulturfiltraten von Fusidium coccineum isoliert und wirkt wie die strukturverwandten Triterpenantibiotika Cephalosporin P1 und Helvolinsäure gegen grampositive Erreger. Die Biosynthese erfolgt aus Squalen über 2,3-Epoxysqualen. F. hemmt die Proteinbiosynthese, indem es die Reaktion des Elongationsfaktors EFG an der kleinen Ribosomenuntereinheit unterbindet.

Fusidinsäure
Copyright 1999 Spektrum Akademischer Verlag, Heidelberg
Wenn Sie inhaltliche Anmerkungen zu diesem Artikel haben, können Sie die Redaktion per E-Mail informieren. Wir lesen Ihre Zuschrift, bitten jedoch um Verständnis, dass wir nicht jede beantworten können.