Lexikon der Biochemie: Gallensäuren
Gallensäuren, Bestandteile der Gallenflüssigkeit, die als Emulsionsmittel dienen. Es sind Steroidcarbonsäuren, die über eine Peptidbindung mit Taurin oder Glycin verbunden sind. Sie werden entsprechend der vorliegenden Aminosäure als Taurocholsäuren bzw. Glycocholsäuren bezeichnet. Die Glycocholsäure kommt überwiegend in der Gallenflüssigkeit von Menschen und Rindern vor, die Taurocholsäure in der Gallenflüssigkeit von Kaninchen. Die G. sind charakteristisch für Säugetiere. Bei niederen Vertebraten wird die gleiche Funktion von den Gallenalkoholen ausgeübt. Das Zusammensetzungsmuster der G. ist bei den Säugetieren oft artspezifisch.
Die Salze der Gallensäuren setzen die Oberflächenspannung herab und emulgieren Fette, wodurch sie die Voraussetzung für deren Resorption durch die Darmwand schaffen. Weiterhin aktivieren sie die Lipasen. Beim Menschen werden täglich 90 % (von 20-30 g) der abgeschiedenen G.allensäuren im Darm wieder resorbiert und zur Leber in den enterohepatischen Kreislauf zurückgeführt. Ein Liter Gallenflüssigkeit enthält ungefähr 30 g G.
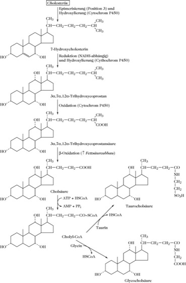
Die Biosynthese der G. (Abb.) erfolgt aus Cholesterin, wobei nach 7α-Hydroxylierung, Reduktion der Doppelbindung an Position 5 und Epimerisierung an Position 3, die C27-Seitenkette nach dem Prinzip der β-Oxidation abgebaut wird. Freie G. werden durch alkalische Hydrolyse z. B. von Schweine- oder Rindergalle gewonnen. Sie werden als Ausgangsmaterial zur Partialsynthese von therapeutisch wichtigen Steroidhormonen verwendet.

Gallensäuren. Biosynthese der Gallensäuren.
Wenn Sie inhaltliche Anmerkungen zu diesem Artikel haben, können Sie die Redaktion per E-Mail informieren. Wir lesen Ihre Zuschrift, bitten jedoch um Verständnis, dass wir nicht jede beantworten können.