Lexikon der Biochemie: Gibberelline
Gibberelline, eine Klasse von weitverbreiteten natürlichen Pflanzenwachstumsregulatoren, die das Längenwachstum stimulieren. Das erste entdeckte G. wurde 1938 aus Gibberella fujikuroi (Fusarium moniliforme), dem Pathogen der Balkan-Reiskrankheit, isoliert. Alle bekannten ~90 Gibberelline enthalten das trizyklische Gibbanringsystem. Die IUPAC empfiehlt, die Nomenklatur und Numerierung vom ent-Gibberellan-System abzuleiten (Abb. 1).
Die G. werden in der Reihenfolge ihrer Entdeckung mit G. A1 bis A52 bezeichnet. Man unterscheidet zwei Hauptgruppen: G. mit 20 C-Atomen (ent-Gibberellane) und solche mit 19 C-Atomen (ent-20-nor-Gibberellane). Weitere Unterschiede zwischen den G. ergeben sich aus dem Vorliegen bzw. der Abwesenheit von Hydroxylgruppen in den Positionen 1, 2, 3, 11, 12 und 13. G. A3 (das am besten bekannte aller G.) wird kommerziell aus Kulturfiltraten von G. fujikuroi gewonnen. Einige der bekannten Abbauprodukte von G. A3 sind Gibberellinsäure, Allogibberinsäure, Gibberinsäure, Gibberen und G. C. Zusätzlich zu diesen freien G. wurden aus Pflanzen wasserlösliche Gibberellinglucoside und Gibberellinglucoseester isoliert. Diese stellen möglicherweise Transport- und Speicherformen der biologisch aktiven freien G. dar.
Die einzelnen G. weisen in den verschiedenen Biotests sehr unterschiedliche Wirksamkeit auf. Einige sind offenbar physiologisch von geringer Bedeutung, andere dürften Zwischenprodukte der Synthese oder des Abbaus von aktiven Hormonen darstellen. Die wichtigste Wirkung der G. besteht in der Stimulierung des Längenwachstums und der Zellteilung. Die Förderung des Längenwachstums von Zwergmutanten mit genetisch blockierter Gibberellinbiosynthese ist Grundlage von Biotests mit einer Nachweisempfindlichkeit von 1ng G. (Zwergentest und Zwergmaistest). Auch der Salat- und der Gurkenhypokotyltest beruhen auf der Förderung des Sprosswachstums durch G. Außerdem hemmen G. das Wurzelwachstum und beeinflussen Ruheperioden und Samenkeimung. Durch Gibberellinbehandlung lässt sich bei Gurken, Tomaten und Weintrauben Parthenokarpie auslösen. Die Keimungsbeschleunigung durch G. ist Grundlage des Samenkeimungstests und erlaubt in der praktischen Anwendung eine verkürzte und gleichmäßige Keimungsrate bei Braugerste. Die G. fördern auch die Blütenbildung und das Fruchtwachstum, worauf ihre Anwendung in der kommerziellen Landwirtschaft beruht.
G. A3 aktiviert Gene in embryofreien Gerstensamen, woraus geschlossen wird, dass der Embryo G. in die Aleuronschicht freisetzt, die dort Gene für die Synthese von hydrolytischen Enzymen, besonders α-Amylase, aktivieren. Hierauf beruht der α-Amylasetest für G. Einige durch Partialsynthese hergestellte G., z. B. 3-Desoxygibberellin C und Pseudogibberellin A1 wirken als Antigibberelline (Gibberellinantagonisten).
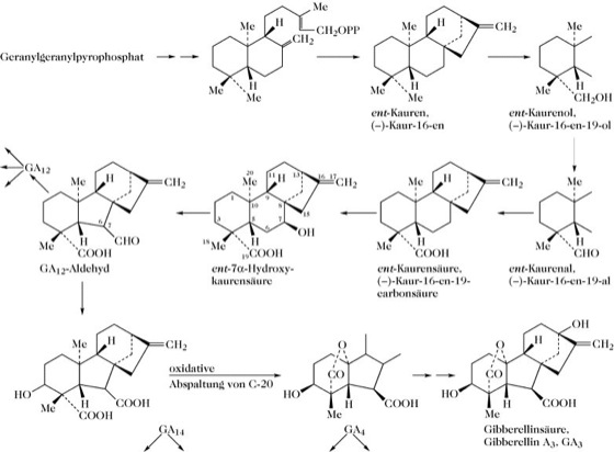
Biosynthese. G. sind Diterpene, die aus Geranylgeranylpyrophosphat (Abb. 2) synthetisiert werden. Das Povital, eine gemeinsame Zwischenstufe in der Biosynthese aller G. ist das Gibberellin-A12-Aldehyd. Danach divergieren die Biosynthesewege beträchtlich. [A. Lang Ann. Rev. Plant Physiol.21 (1970) 537-570; J.E. Graebe u. H.J. Ropers in Phytohormones and Related Compounds – A Comprehensive Treatise vol 1, D.S. Letham, P.B. Goodwin u. T.J.V. Higgins (Hrsg.), North Holland, 1978, S. 107-204; P. Hedden et al. Annu. Rev. Plant Physiol.29 (1978) 149-192; P. Fuchs u. G. Schneider "Synthesis of glucosyl conjugates of [17-2H2]-labelled and unlabelled Gibberellin A34" Phytochemistry42 (1996) 7-10]

Abb. 1. Gibberelline. Numerierungssysteme von ent-Gibberellan und Gibban.

Abb. 2. Gibberelline. Biosynthese der Gibberelline.
Wenn Sie inhaltliche Anmerkungen zu diesem Artikel haben, können Sie die Redaktion per E-Mail informieren. Wir lesen Ihre Zuschrift, bitten jedoch um Verständnis, dass wir nicht jede beantworten können.