Lexikon der Biochemie: Hawkinsinurie
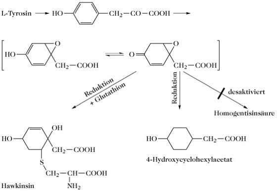
Hawkinsinurie, Tyrosinämie III (Abb.), eine angeborene Stoffwechselstörung, die auf einen Mangel an 4-Hydroxyphenylpyruvat-Dioxygenase (P-Hydroxyphenylpyruvat-Dioxygenase, 4-Hydroxyphenylpyruvat-Hydroxylase, EC 1.13.11.27) zurückzuführen ist. Es kommt zur Ausscheidung von (2-L-Cystein-S-yl-1,4-dihydroxycyclohex-5-en-1-yl)essigsäure (Hawkinsin) und Hydroxylcyclohexylessigsäure im Harn und es bestehen leichte Hypertyrosinämie und Acidose. Behandlung erfolgt durch proteinarme Ernährung und Ascorbinsäureergänzung. Das defekte Enzym setzt vermutlich reaktive Intermediate frei, bevor 4-Hydroxyphenylpyruvat in Homogentisat (Phenylalanin) umgewandelt wird. [B. Wilcken et al. New Engl. J. Med.305 (1981) 865-869]

Hawkinsinurie
Copyright 1999 Spektrum Akademischer Verlag, Heidelberg
Wenn Sie inhaltliche Anmerkungen zu diesem Artikel haben, können Sie die Redaktion per E-Mail informieren. Wir lesen Ihre Zuschrift, bitten jedoch um Verständnis, dass wir nicht jede beantworten können.