Lexikon der Biochemie: herzwirksame Glycoside
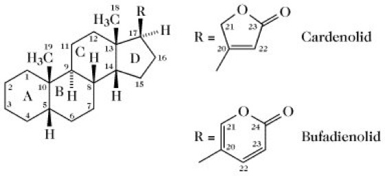
herzwirksame Glycoside, Herzglycoside, Naturstoffe und deren partialsynthetische Abwandlungsprodukte mit Steroidstruktur, die eine Wirkung auf das Herz ausüben. Sie enthalten ein Cyclopentanoperhydrophenanthren-Grundgerüst, bei dem die Ringe A/B cis-, B/C trans- und C/D cis-verknüpft sind. Man unterscheidet zwischen dem Cardenolidtyp mit einem 17β-ständigen ungesättigten fünfgliedrigen Lactonring (z. B. Strophantineund Digitalisglycoside) und dem Bufadienolidtyp (Bufogenine) mit einem zweifach ungesättigten sechsgliedrigen Lactonring an gleicher Stelle (z. B. Scillaren A; Abb.). Die Aglycone der stark herzwirksamen Verbindungen enthalten eine 3β- und eine 14β-ständige OH-Gruppe. Daneben können weitere Sauerstofffunktionen meist in Form von Hydroxygruppen vorhanden sein. Über das O-Atom am C3 sind ein bis fünf Monosaccharidreste glycosidisch gebunden. Bei den Zuckern finden sich neben D-Glucose und L-Rhamnose selten vorkommende Vertreter wie 2,6-Didesoxyhexosen (z. B. D-Digitoxose), Methylether von 6-Desoxyhexosen (z. B. D-Digitalose) und Methylether von 2,6-Didesoxyhexosen (z. B. D-Cymarose und D-Oleandrose). Bisher wurden mehr als 400 Glycoside isoliert, die hauptsächlich in den Familien der Scrophulariazeen (Digitalis-Arten), Liliazeen (Urginea maritima, Convallaria majalis), Ranunculazeen (Adonis-Arten) und Apocynazeen (Strophanthus-Arten, Nerium oleander) aufgefunden wurden.
Im Hautsekret von Kröten (Bufo-Arten) finden sich nichtglycosidische Verbindungen vom Bufadienolidtyp (Krötengifte).
In neuerer Zeit wurden h. G. auch in Insekten, z. B. dem Grashüpfer Poekilocerus bufonius und dem Schmetterling Danaus plexippus, nachgewiesen, die sie mit pflanzlicher Nahrung aufnehmen. Als Vorstufe der Biosynthese von herzwirksamen Glycosiden wurde Pregnenolon nachgewiesen.
H. G. verstärken in therapeutischen Dosen die Schlagkraft des insuffizienten Herzmuskels und finden seit langer Zeit breite Anwendung in der Therapie. In höheren Dosen sind sie toxisch. Sie werden an spezifische Membranrezeptoren gebunden, von denen man annimmt, dass sie Teil des Na+/K+-ATPase-Komplexes sind. Endogene Verbindungen, die an die gleichen Rezeptoren gebunden werden ("g-strophantinähnliche Verbindungen", engl. "ouabain-like compounds", OLC), wurden aus verschiedenen Quellen isoliert. [Y. Shimoni et al. Nature307 (1984) 369-371; F.Abe et al. "Presence of Cardenolides and Ursolic Acid from Oleander leaves in Larvae and Frass of Daphnis nerii" Phytochemistry42 (1996) 51-60]
Vom therapeutischen Standpunkt aus sind folgende h. G. von Bedeutung: Digitalisglycoside (Purpureaglycoside, Lanataglycoside), Strophanthusglycoside, Convallariaglycoside und Scillaglycoside.

herzwirksame Glycoside
Wenn Sie inhaltliche Anmerkungen zu diesem Artikel haben, können Sie die Redaktion per E-Mail informieren. Wir lesen Ihre Zuschrift, bitten jedoch um Verständnis, dass wir nicht jede beantworten können.