Lexikon der Biochemie: Holothurine
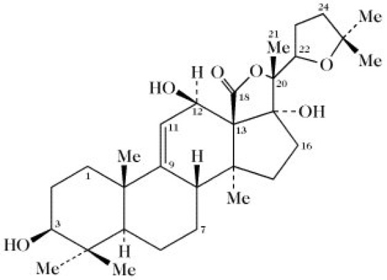
Holothurine, eine Gruppe hochtoxischer Inhaltsstoffe aus Seegurken- (Holothurioidea-) Arten. H. sind wasserlösliche, sulfatierte Steroidglycoside, die ein Saponin als Molekülteil aufweisen. Sie besitzen eine größere hämolytische Aktivität als Saponine pflanzlichen Ursprungs. Die karibische Seegurke Actinopyga agassizi produziert ein Gemisch von H. und stellt die Hauptquelle dieser Verbindungen dar. H. A trägt eine Kette aus vier Zuckerresten: D-Glucose, D-Xylose, 3(O)-Methylglucose und D-Quinose; das Sulfat ist an die Xylose gebunden (Abb.). Die Hydrolyse von desulfatiertem H. A mit konz. HCl hat eine Hydroxylgruppeneliminierung aus Position 12 und Einführung einer Doppelbindung zwischen den C-Atomen 7 und 8 des Steroidaglycons zur Folge. Mit Hilfe milderer Methoden zur Entfernung des Kohlenhydrats (z. B. milde saure Methanolyse) entsteht das wahre Aglycon (Abb.). [J.D. Chanley u. C. Rossi Tetrahedron25 (1969) 1911-1920; J.S. Grossert Chem. Soc. Rec. 1 (1972) 1-25]

Holothurine. Aglycon von Holothurin A aus Actinopyga agassizi. Der Kohlenhydratrest ist mit der C3-Hydroxylgruppe glycosidisch verknüpft.
Wenn Sie inhaltliche Anmerkungen zu diesem Artikel haben, können Sie die Redaktion per E-Mail informieren. Wir lesen Ihre Zuschrift, bitten jedoch um Verständnis, dass wir nicht jede beantworten können.