Lexikon der Biochemie: Homobatrachotoxin
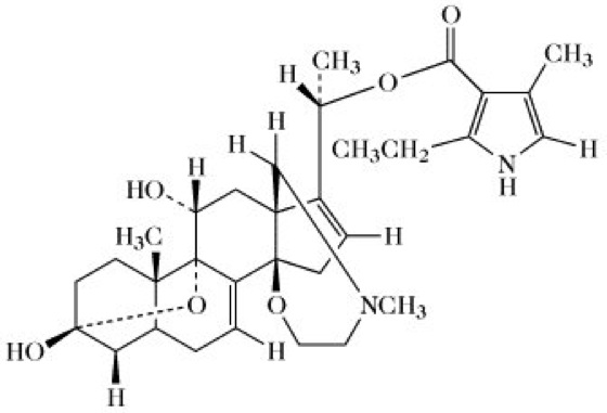
Homobatrachotoxin, in der Haut von Pfeilgiftfröschen (Familie Dendrobatidae) sowie in Federn, Haut und Muskulatur von drei zur Familie der Fliegenschnäpper gehörenden Pitohui-Arten (P. dichrous, P. kirhocephalus, P. ferrugineus) vorkommendes Toxin (Abb.). Es verhindert die Schließung des Na+-Kanals, wodurch es zu einer Dauererregung und damit zur Lähmung der Muskulatur kommt.

Homobatrachotoxin
Copyright 1999 Spektrum Akademischer Verlag, Heidelberg
Wenn Sie inhaltliche Anmerkungen zu diesem Artikel haben, können Sie die Redaktion per E-Mail informieren. Wir lesen Ihre Zuschrift, bitten jedoch um Verständnis, dass wir nicht jede beantworten können.