Lexikon der Biochemie: Keramanide
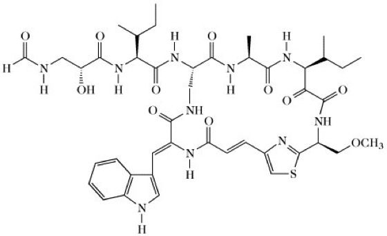
Keramanide, eine Familie Oxazol bzw. Thiazol enthaltender schwach cytotoxischer Cyclopeptide aus dem Schwamm Theonella sp. Hierzu gehören Orbiculamid A und die K. B, C, D und E. Sie enthalten ungewöhnliche Bausteine wie vinyloge und α-ketohomologe Aminosäuren. Die K. F (Abb.), G, H und J haben eine ähnliche Struktur, jedoch ist der Oxazolring durch ein Thialzolstrukturelement ausgetauscht. [P. Wipf, Chem. Rev.95 (1995) 2.115]

Keramanide. Keramanid F.
Copyright 1999 Spektrum Akademischer Verlag, Heidelberg
Wenn Sie inhaltliche Anmerkungen zu diesem Artikel haben, können Sie die Redaktion per E-Mail informieren. Wir lesen Ihre Zuschrift, bitten jedoch um Verständnis, dass wir nicht jede beantworten können.