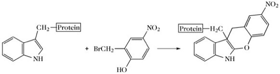
StartseiteLexikaLexikon der BiochemieAktuelle Seite: Koshland-ReagensLexikon der Biochemie: Koshland-Reagensvorheriger Artikelnächster ArtikelKoshland-Reagens, 2-Hydroxy-5-nitrobenzylbromid, ein Reagens zur chemischen Modifizierung von Tryptophanresten in Peptiden und Proteinen (Abb.).Koshland-ReagenzCopyright 1999 Spektrum Akademischer Verlag, Heidelberg
Wenn Sie inhaltliche Anmerkungen zu diesem Artikel haben, können Sie die Redaktion per E-Mail informieren. Wir lesen Ihre Zuschrift, bitten jedoch um Verständnis, dass wir nicht jede beantworten können.
Artenvielfalt: Größte Vogelart seit Langem neu entdecktSteißhühner sind eng verwandt mit den ausgestorbenen Moas. Droht einer neu entdeckten Art das gleiche Schicksal wie den neuseeländischen Riesenvögeln?
Artenschutz: Die letzte Zuflucht der Fleischfresserpflanze?Bergbau bedroht die letzten Vorkommen eines kleinen, aber hübschen Sonnentaus. Doch nun gibt es Hoffnung, dass die Pflanzen auch zukünftig überleben.
Evolution: Liebe macht diesen Vogel fast blindGoldfasane gehören nach menschlichem Ermessen zu den schönsten Hühnervögeln. Die Attraktivität der Männchen hat allerdings einen gefährlichen Preis.
Felis catus: Der wahre Ursprung der HauskatzeDie Wege der Hauskatze sind unergründlich. Fast jedenfalls. Wann kamen die Stubentiger tatsächlich nach Europa? Darauf haben Archäogenetiker eine neue Antwort.
AmazonienEntdecken Sie die faszinierende Biodiversität und die kulturellen Schätze des Amazonas, die durch Abholzung und Klimawandel bedroht sind.
RegenwaldTropische Regenwälder gehören zu den vielfältigsten Lebensräumen und letzten weißen Flecken der Erde - und leider auch zu den stark bedrohten Naturräumen.
Artenvielfalt und ArtensterbenNoch ist die Biodiversität nicht in ihrem gesamten Ausmaß bekannt, und doch fegt wohl schon die sechste große Aussterbewelle in der Erdgeschichte durch ihre Reihen.
Wenn Sie inhaltliche Anmerkungen zu diesem Artikel haben, können Sie die Redaktion per E-Mail informieren. Wir lesen Ihre Zuschrift, bitten jedoch um Verständnis, dass wir nicht jede beantworten können.