Lexikon der Biochemie: L-19-RNA
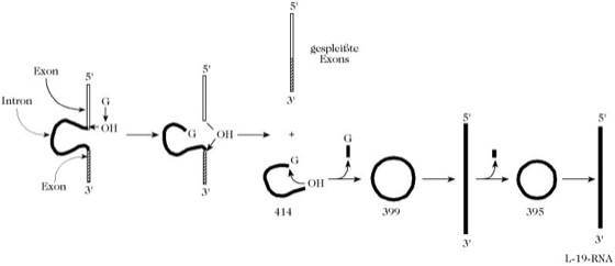
L-19-RNA, das erste entdeckte RNA-Enzym (Ribozyme). L-19-RNA ist eine verkürzte Form eines Introns aus dem Protozoon Tetrahymena thermophila, die durch Selbstspleißung eines ribosomalen 6,4-kb-RNA-Vorläufers freigesetzt wird. Bei der ersten Spleißreaktion dient ein Guaninnucleotid als Cofaktor, wobei die reife 26S-rRNA und ein Intron aus 414 Nucleotiden gebildet wird, das durch zwei nachfolgende Selbstspleißungen insgesamt 19 Nucleotide verliert und die katalytisch aktive L-19-RNA bildet (Abb. 1). Dieses Ribozym katalysiert in spezifischer Weise die Spaltung und Verknüpfung von Oligoribonucleotidketten, wobei beispielsweise aus dem Pentacytidylat (C5) längere und kürzere Oligomere gebildet werden. Dabei wirkt die L-19-RNA sowohl wie eine Ribonuclease als auch wie eine RNA-Polymerase (Abb. 2). Das C5-Substrat wird über H-Brücken an das Ribozym gebunden (A → B) und die terminale pC-Gruppierung wird kovalent mit dem terminalen G der L-19-RNA unter Ausbildung eines kovalenten Zwischenproduktes (-GpC) verknüpft, wobei C4 freigesetzt wird (B → C). Während durch Hydrolyse (C → A) unter Abspaltung von pC das Ribozym regeneriert wird, kann alternativ das kovalent gebundene pC auf C5 unter Bildung von C6 transferiert werden (C → D). Das Ribozym besitzt eine ausgeprägte Substratspezifität, gehorcht der Michaelis-Menten-Kinetik und ist durch Inhibitoren kompetitiv hemmbar. Durch diese fundamentale Entdeckung von Thomas Cech wurde bewiesen, dass Proteine nicht das Monopol für die Katalyse besitzen und in der frühen Phase der Evolution RNA sowohl als Informationsträger als auch als Biokatalysator fungieren konnte. [A.J.Zaug u. T.R. Cech, Science231 (1985) 473; T.R. Cech Sci. Amer. 11 (1986) 76-84; T.R. Cech et al. J. Biol. Chem. 267 (1992) 17.479-17.482; D. Herschlag et al. Biochemistry29 (1990) 10.159-10.171]

L-19-RNA. Selbstspleißen eines rRNA-Vorläufermoleküls.

L-19-RNA. Postulierter katalytischer Mechanismus der L-19-RNA.
Wenn Sie inhaltliche Anmerkungen zu diesem Artikel haben, können Sie die Redaktion per E-Mail informieren. Wir lesen Ihre Zuschrift, bitten jedoch um Verständnis, dass wir nicht jede beantworten können.