Lexikon der Biochemie: Leukotriene
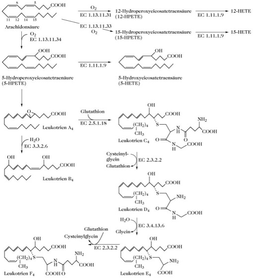
Leukotriene, Lipidhormone, die von der Arachidonsäure abstammen. Leucocyten sind wichtige Quellen für L. (daher das Präfix "Leuko-"). Alle L. enthalten drei Doppelbindungen (daher "triene"). Die Hauptleukotriene sind zwar vierfach ungesättigt, die vierte Doppelbindung ist jedoch mit den anderen nicht konjugiert. Die L. sind mit den "langsam reagierenden Substanzen der Anaphylaxe" (engl. slow reacting substances, SRS) identisch, welche die Immunhypersensitivität vermitteln. Außerdem verstärken sie Entzündungen. Alle L. rufen eine starke Kontraktion der Lungen hervor (sie sind hundert- bis tausendmal wirksamer als die Histamine) und stimulieren die Freisetzung von Thromboxanen und Prostaglandinen. Eine Lipoxygenase, die an C5 der Arachidonsäure angreift, liefert 5-Hydroperoxyeicosatetraencarbonsäure. Durch Überführung dieser Verbindung in das 5,6-Epoxid entsteht Leukotrien A4, das sehr instabil ist; seine Halbwertszeit beträgt in Puffer bei pH 7,4 und 25°C 10 Sekunden. Es wird jedoch durch alkalische Bedingungen bzw. Albumin stabilisiert. Die Strukturen von Leukotrien A4 und anderen L. werden in der Azbbildung dargestellt. Die physiologischen Wirkungen verschiedener L. sind nicht identisch. Die L. C4, D4 und E4 sind myotrop und stimulieren die Kontraktion glatter Muskeln. Leukotrien B4 ist ein chemotaktisches Agens für Makrophagen und Eosinophile. Makrophagen werden zur Aggregation und zur Freisetzung von Superoxid und lysosomalen Enzymen veranlasst. Leukotrien B4 induziert die Transformation von T-Lymphocyten in Suppressor-T-Zellen und hat möglicherweise andere Wirkungen, die die Immunantwort modulieren. [P. Borgeat et al. Adv. Lipid Res. 21 (1985) 47-77; P. Sirois, ibid. 79-101]

Leukotriene. Der Lipoxygenase-Weg des Arachidonsäure-Stoffwechsels. EC 1.11.1.9: Glutathion-Peroxidase. EC 1.13.11.31: Arachidonsäure-12-Lipoxygenase. EC 1.13.11.33: Arachidonsäure-15-Lipoxygenase. EC 1.13.11.34: Arachidonsäure-5-Lipoxygenase. EC 2.3.2.2: γ-Glutamyltransferase. EC 2.5.1.18: Glutathion-Transferase. EC 3.3.2.6: Leukotrien-A4-Hydrolase. EC 3.4.13.6: Cysteinyl-Glycin-Dipeptidase.
Wenn Sie inhaltliche Anmerkungen zu diesem Artikel haben, können Sie die Redaktion per E-Mail informieren. Wir lesen Ihre Zuschrift, bitten jedoch um Verständnis, dass wir nicht jede beantworten können.