Lexikon der Biochemie: Lipide
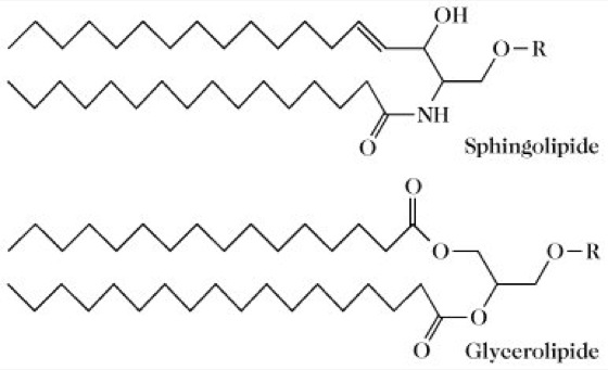
Lipide, überwiegend lipophile Derivate langkettiger Monocarbonsäuren, der Fettsäuren. L. können unterteilt werden in einfache und komplexe L. Bei den einfachen L. sind die Fettsäuren esterartig an Alkohole gebunden. Zu dieser stark lipophilen Gruppe gehören die Wachse als Ester lipophiler Alkohole sowie die Fette und fetten Öle als Ester des Glycerins. Die komplexen L., auch als Lipoide bezeichnet, enthalten außer den Fettsäuren und der Alkoholkomponente noch weitere Bausteine, wie Phosphorsäure oder deren Ester (Phospholipide) oder Mono- bzw. Oligosaccharidreste (Glycolipide). Nach der Alkoholkomponente lassen sich die komplexen L. in Glycerolipide und Sphingolipide einteilen. Die komplexen L. sind amphiphile Substanzen. Sie bestehen aus einer lipophilen Komponente, den Alkylketten der Fettsäuren und des Sphingoids, sowie einer hydrophilen Komponente ("Kopfgruppe"), dem Phosphorsäure- oder Kohlenhydratrest (Abb.). Die hydrophile Komponente kann neutral (z.B. Phosphatidylcholin, Sphingomyelin, neutrale Glycolipide) oder sauer sein (z.B. Phosphatidylserin, Phosphatidylglycerin, saure Glycolipide). Die komplexen L. können in verschiedenen mesomorphen Zustandsformen vorliegen.
L. geringer Polarität, z.B. die Triacylglycerine, sind leicht löslich in aliphatischen oder aromatischen Kohlenwasserstoffen, aber nur schwer löslich in Methanol. Dagegen sind polare L., wie die Phospho- oder Glycolipide, in Kohlenwasserstoffen schwer löslich. Die meisten Phospholipide sind in kaltem Aceton schwer löslich, während sich z.B. die Di- und Triglycerine leicht lösen. Durch diese Lösungsunterschiede sind grobe Trennungen möglich. Die Schmelzpunkte sind bei den L. durch das Auftreten polymorpher Formen und die Bildung von Mischkristallen wenig charakteristisch. Die spezifischen Drehungen sind nur sehr gering und für die Charakterisierung wenig geeignet.

Lipide. Allgemeine Struktur der komplexen Lipide. Bei Phospholipiden sind R = Phosphorsäure oder Phosphorsäureester; bei Glycolipiden sind R = Mono- oder Oligosaccharidreste.
Wenn Sie inhaltliche Anmerkungen zu diesem Artikel haben, können Sie die Redaktion per E-Mail informieren. Wir lesen Ihre Zuschrift, bitten jedoch um Verständnis, dass wir nicht jede beantworten können.