Lexikon der Biochemie: Lupeol
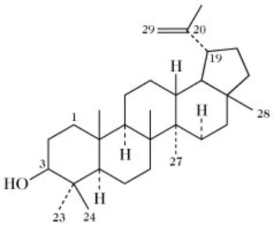
Lupeol, ein pentazyklischer Triterpenalkohol. Mr 426,73Da, F. 215°C, [α]D +28° (Chloroform). L. leitet sich strukturell vom Stammkohlenwasserstoff 5α-Lupan ab (Abb.). Er kommt frei, verestert und als Aglycon von Triterpensaponinen (Saponine) in zahlreichen Pflanzen vor und wurde z.B. im Milchsaft von Ficus-Arten, in Samenschalen der Gelben Lupine (Lupinus luteus) und in Mistelblättern nachgewiesen. Außerdem wurde L. in den Cocons der Seidenraupe Bombyx mori gefunden.

Lupeol
Copyright 1999 Spektrum Akademischer Verlag, Heidelberg
Wenn Sie inhaltliche Anmerkungen zu diesem Artikel haben, können Sie die Redaktion per E-Mail informieren. Wir lesen Ihre Zuschrift, bitten jedoch um Verständnis, dass wir nicht jede beantworten können.