Lexikon der Biochemie: Maduropeptin
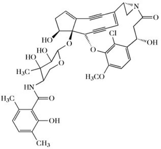
Maduropeptin, MDP, ein aus der Kulturflüssigkeit von Actinomadura madurae isoliertes antitumorwirksames Chromoprotein. M. besteht aus einem Endiin-enthaltenden Chromophor (Abb.) und einem sauren stabilisierenden Protein (Mr 32kDa). Der Chromophor bildet einen labilen neungliedrigen Endiin-Ring, zeigt aber keine Homologie zu ähnlichen Endiin enthaltenden Chromoproteinen (Neocarcinostatin, Macromomycin, Actinoxanthin oder Kedarcidin). Der M.-Chromophor allein besitzt antibakterielle und cytotoxische Wirkungen. Er spaltet Doppelstrang-DNA in vitro an speziellen biologisch kritischen DNA-Sequenzen, während das proteaseähnliche Apoprotein den Chromophor stabilisiert und solubilisiert. Ebenso wie Neocarcinostatin und Kedarcidin katalysiert M. in vitro den Abbau von Histonen zu niedermolekularen Peptiden. [N. Zein et al., Biochemistry34 (1995) 11.591]

Maduropeptin
Wenn Sie inhaltliche Anmerkungen zu diesem Artikel haben, können Sie die Redaktion per E-Mail informieren. Wir lesen Ihre Zuschrift, bitten jedoch um Verständnis, dass wir nicht jede beantworten können.