Lexikon der Biochemie: Maitotoxin
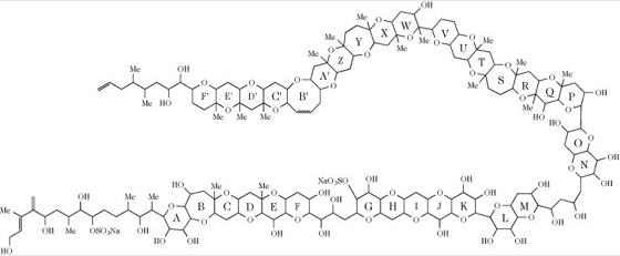
Maitotoxin, ein aus Zellkulturen des Dinoflagellaten Gambierdiscus toxicus isoliertes wasserlösliches und hochtoxisches Algengift (LD50 50 ng/kg, Maus, i.p.). Das über die Nahrungskette angereicherte Toxin ist eine der Ursachen für die sog. Ciguarata-Fisch-Vergiftung, deren Symptome sich in Magen-Darm-Verstimmung, Herz-Kreizlauf-Beschwerden, Juckreiz, Umkehrung der Heiß-Kalt-Empfindung u.a. äußern. Das aus Polyether-Einheiten aufgebaute M. (Mr 3.422Da) ist eines der größten bisher bekannten natürlich vorkommenden "Nichtbiopolymeren" (Abb.). [K. Tachibana et al., Angew. Chem.108 (1996) 1.782]

Maitotoxin
Copyright 1999 Spektrum Akademischer Verlag, Heidelberg
Wenn Sie inhaltliche Anmerkungen zu diesem Artikel haben, können Sie die Redaktion per E-Mail informieren. Wir lesen Ihre Zuschrift, bitten jedoch um Verständnis, dass wir nicht jede beantworten können.