Lexikon der Biochemie: Makrolide
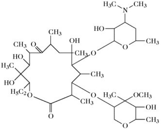
Makrolide, Makrolid-Antibiotika, eine Gruppe von Antibiotika aus verschiedenen Streptomyces-Stämmen, denen eine komplizierte makrozyklische Struktur gemeinsam ist. M. hemmen die Proteinbiosynthese durch Blockierung der Peptidknüpfung und der Translokationsreaktion an der ribosomalen 50 S-Untereinheit, ähnlich dem Chloramphenicol. Zu den M. gehören z.B. Erythromycin (Abb.), Spiramycin, Oleandomycin, Carbomycin, Angolamycin, Leucomycin, Picromycin; fast alle werden als Breitbandantibiotika therapeutisch eingesetzt.

Makrolide. Erythromycin.
Copyright 1999 Spektrum Akademischer Verlag, Heidelberg
Wenn Sie inhaltliche Anmerkungen zu diesem Artikel haben, können Sie die Redaktion per E-Mail informieren. Wir lesen Ihre Zuschrift, bitten jedoch um Verständnis, dass wir nicht jede beantworten können.