Lexikon der Biochemie: MAO-Inhibitoren
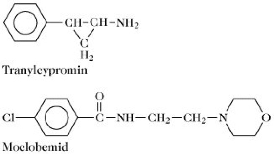
MAO-Inhibitoren, MAO-Hemmer, Inhibitoren der mitochondrialen Monoaminooxidase (MAO) mit antidepressiver Wirkung. Durch die Hemmung der MAO-A bzw. MAO-B mittels der M. Tranylcypromin, ein Amphetamin-Analogon, bzw. des substituierten Benzamids Moclobemid (Abb.) wird der Abbau von Noradrenalin und Serotonin in den Axonenden blockiert, wodurch der Gehalt in den Speichervesikeln und damit die Freisetzung im synaptischen Spalt ansteigt. Diese chronisch gesteigerte Konzentration bewirkt Adaptationsprozesse an prä- und postsynaptischen Neurotransmitterrezeptoren, auf die eine Besserung der Depression zurückzuführen ist. M., wie z.B. der L-Antipode von Selegilin [C6H5-CH2-CH(CH3)-N(CH3)-CH2-C≡CH], werden als Antiparkinsonmittel eingesetzt.

MAO-Inhibitoren
Wenn Sie inhaltliche Anmerkungen zu diesem Artikel haben, können Sie die Redaktion per E-Mail informieren. Wir lesen Ihre Zuschrift, bitten jedoch um Verständnis, dass wir nicht jede beantworten können.