Lexikon der Biochemie: Melanotropin
Melanotropin, Melanocyten stimulierendes Hormon, MSH, Melanophoren-Hormon, melanotropes Hormon, ein unter der Kontrolle der Hypothalamus-Hormone Melanoliberin und Melanostatin in der Hypophyse gebildetes Peptidhormon. M. stimuliert durch Aktivierung einer Tyrosinase die Synthese des Melanophorenpigments Melanin (Melanogenese) sowie den Transport der das Pigment enthaltenden Granula (Melanosomen) bei wechselwarmen Vertebraten. Die Dunkelfärbung der Haut wird durch die Dispersion der Melanosomen durch die vielen Dendriten der Melanocyten verursacht. Im Gegensatz dazu wird die Aufhellung der Haut durch Konzentraktion der Melanosomen erreicht (induziert durch das Melanin konzentrierende Hormon). Nach Verabreichung von α-M. wird die menschliche Haut nach 24h dunkler. Eine Dunkelfärbung der Haut wird bei verschiedenen Krankheiten mit erhöhtem α-MSH-Spiegel (Cushings-, Addisons-, Nelsons-Syndrom), bei Nierenschädigung oder bei ACTH-sekretierenden Tumoren beobachtet. Der Melanotropin potenzierende Faktor erhöht die melanotrope Aktivität von α-M.
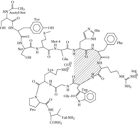
Obgleich bei Vögeln und Säugern die biologische Bedeutung des M. noch nicht hinreichend geklärt ist, zeigt das α-M. (Abb.) bei Säugern starke Effekte auf eine Vielzahl von Geweben. So wurde M. beim erwachsenen Menschen auch im ZNS und in verschiedenen peripheren Organen gefunden, Beeinflussung von Lern- oder Wachstumsprozessen durch M. wird diskutiert. Das nur während der Schwangerschaft zirkulierende M. ist möglicherweise fötalen Ursprungs.
M. wird biosynthetisch aus dem Vorläufer Pro-Opiomelanocortin freigesetzt. Neben den bisher bekannten α- und β-M. wurde im Biosynthesevorläufer eine dritte M.-Sequenz, das γ-M., entdeckt. Die Identifikation einer vierten potenziellen M.-Sequenz im Pro-Opiomelanocortin unterstützt die Annahme einer Serie von Genduplikationen. [A. Eberle, Melanotropins: Chemistry, Physiology and Mechanisms, Karger, Basel 1988]

Wenn Sie inhaltliche Anmerkungen zu diesem Artikel haben, können Sie die Redaktion per E-Mail informieren. Wir lesen Ihre Zuschrift, bitten jedoch um Verständnis, dass wir nicht jede beantworten können.