Lexikon der Biochemie: Mutterkorn-Alkaloide
Mutterkorn-Alkaloide,Claviceps-Alkaloide, Ergot-Alkaloide, Ergolin-Alkaloide, eine Gruppe von mehr als 30 Indolalkaloiden mit Ergolingerüst. Sie werden vornehmlich von verschiedenen Arten der Pilzgattung Claviceps (Familie der Ascomyceten) gebildet, die auf Roggen und Wildgräsern parasitieren. Ihren Namen erhielten die M. von den als Mutterkorn [engl. ergot] bezeichneten Sclerotien (Dauerformen) von Claviceps purpurea. Diese Sclerotien bilden sich nach Infektion der Roggenblüten durch Pilzsporen und entwickeln sich zu 1-3cm langen, dunkelvioletten, stark giftigen Körnern, die bis zu 1% M. enthalten können. M. wurden auch in höheren Pflanzen gefunden.
Die M. bilden zwei Untergruppen (Lysergsäurederivate und Clavin-Alkaloide), in Abhängigkeit vom Oxidationszustand des Substituenten an C8 des tetrazyklischen Ergolinringsystems (Abb. 1). Die erste Gruppe umfasst Säureamide mit einfachen Aminen (z.B. Ergometrin) oder zyklischen Tripeptiden (Peptidalkaloide, z.B. Ergotamin). Am Aufbau des Tripeptids sind die Aminosäuren D-Prolin, L-Leucin, L-Valin, L-Phenylalanin oder L-Alanin beteiligt. Die Verknüpfung mit der Carboxylgruppe der Lysergsäure übernehmen entweder Alanin (Ergotamintyp) oder Valin (Ergotoxintyp).
Alle von der Lysergsäure abgeleiteten M. sind linksdrehend. Sie kommen zusammen mit den rechtsdrehenden Isomeren vor, die sich von der Isolysergsäure ableiten und deren Trivialnamen auf -inin enden (z.B. Ergotaminin). Beim Stehen wässriger Lösungen gehen die Derivate der Lysergsäure unter Konfigurationsumkehr am C-Atom 8 in die der Isolysergsäure über. Der Nachweis der M. kann durch ihre Fluoreszenz oder durch Indolreagenzien erfolgen.
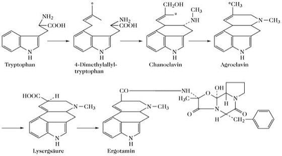
Biosynthese. M. entstehen bei Claviceps purpurea und wahrscheinlich auch bei höheren Pflanzen aus Tryptophan und Isopentenylpyrophosphat (Terpene). Über 4-Dimethylallyltryptophan führen weitere Reaktionen (Hydroxylierung, Methylierung, Decarboxylierung und Bildung einer neuen C-C-Bindung) zu dem Alkaloid Chanoclavin, aus dem alle anderen Clavin-Alkaloide und die Lysergsäurederivate hervorgehen. Der Peptidteil der Alkaloide vom Ergotamin- und Ergotoxintyp wird durch einen Multienzymkomplex gebildet (Abb. 2). Zur Gewinnung der M. werden die nach künstlicher Infektion von Roggen gesammelten Sclerotien aufgearbeitet. Außerdem werden M. auch in Kulturen des Pilzes auf künstlichen Nährböden gebildet.
Unter den M. haben die Lysergsäurederivate, besonders die Peptidalkaloide, eine Vielzahl günstiger pharmakologischer Eigenschaften, während Clavin- und Isolysergsäurealkaloide physiologisch inaktiv sind. Extrakte der Mutterkorndroge hatten früher eine große Bedeutung (erste überlieferte Beschreibung von 1582). Wegen ihres schwankenden Gehalts an M. sind sie heute ausnahmslos durch Reinalkaloide (besonders Ergotamin) oder halbsynthetische Analoga verdrängt worden. M. stimulieren die Kontraktion glatter Muskeln, insbesondere des Uterus und der Arteriole in peripheren Teilen des Körpers; sie werden zur Regulation der Hämorrhagie nach der Geburt eingesetzt. Wegen ihrer therapeutischen Breite setzt man M. auch in Kombinationspräparaten ein, z.B. zur Dämpfung des vegetativen Nervensystems zusammen mit Tropan-Alkaloiden. Während die natürlichen M. eine gefäßverengende Wirkung haben, sind die halbsynthetischen Präparate, die durch Hydrierung der Δ9-Doppelbindung entstehen, gefäßerweiternd.
In den letzten Jahren wurden nur wenige natürlich vorkommende M. entdeckt. Von besonderem Interesse ist das Ergoladinin aus der Isolysergsäureserie. Es ist das erste schwefelhaltige natürliche M., von dem berichtet wurde. Der zyklische Tripeptidteil wird von Prolin, Valin und Methionin gebildet.
Durch Anteile von Mutterkorn im Mehl ist es bis in dieses Jahrhundert zu Massenvergiftungen gekommen. Die Krankheit wurde als Brandseuche bzw. St.-Antonius-Feuer bezeichnet und heißt heute Ergotismus. Vergiftungssymptome sind: schmerzhafte, spastische Kontraktionen der Muskeln und Gefäße, Pelzigkeitsgefühl und Kribbeln der Haut sowie Gangrän und Absterben von Gliedmaßen. Die Vergiftung ist oft tödlich.

Mutterkorn-Alkaloide. Abb. 1. Zu den Clavin-Alkaloiden zählen Agroclavin mit R = H und Elymoclavin mit R = OH. Lysergsäureabkömmlinge sind Lysergsäure mit R = OH, LSD mit R = N(C2H5)2, Ergometrin mit R = NH-(CH2)2-OH und Ergotamin (vergl. Abb. 2).

Mutterkorn-Alkaloide. Abb. 2. Biosynthese der Clavin- und Lysergsäurealkaloide. Der Stern markiert einander entsprechende C-Atome.
Wenn Sie inhaltliche Anmerkungen zu diesem Artikel haben, können Sie die Redaktion per E-Mail informieren. Wir lesen Ihre Zuschrift, bitten jedoch um Verständnis, dass wir nicht jede beantworten können.