Lexikon der Biochemie: Nebennierenrindenhormone
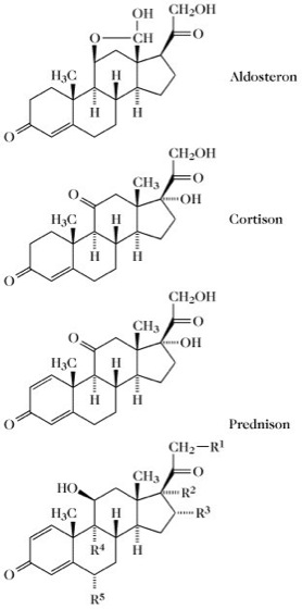
Nebennierenrindenhormone, Adrenocorticosteroidhormone, Adrenocorticoide, Corticosteroide, Corticoide, eine Gruppe von Steroidhormonen, die unter Einwirkung des adrenocorticotropen Hormons in der Nebennierenrinde gebildet werden. Die N. leiten sich von Pregnan (Formel Steroide, Tab.) ab. Sie enthalten 21 C-Atome. Sauerstofffunktionen finden sich am C-Atom 3 und C-Atom 20 und im Gegensatz zu den Gestagenen auch am C-Atom 21 und/oder am C-Atom 11 und am C-Atom 17. In der Nebennierenrinde sind über 30 Steroide aufgefunden worden, von denen nur einigen eine Hormonwirkung zukommt. Biogenetische Vorstufe der N. ist Progesteron.
Nach ihrer Hauptwirkung auf den Mineral- oder Kohlenhydratstoffwechsel nimmt man eine Einteilung in Mineralcorticoide und Glucocorticoide vor. Mineralcorticoide (Tab. 1) steuern die Plasmakonzentration von Natrium- und Kalium-Ionen im Sinne einer erhöhten Kaliumausscheidung und Natriumretention einschließlich der Retention von Wasser. Therapeutisch als Mineralcorticoid zur Behandlung der Addisonschen Krankheit (Morbus Addison, die durch leichte Ermüdbarkeit, Abmagerung, Senkung des Blutzuckerspiegels und dunkle Pigmentierung der dem Licht ausgesetzten Hautstellen charakterisiert ist, der sog. Bronzediabetes) und von Schockzuständen wurde zunächst Desoxycorton, bzw. Desoxycortonacetat eingesetzt. Eine etwa 30mal stärkere mineralocorticoide Wirkung zeigt Aldosteron.
Glucocorticoide (Tab. 2) bewirken über eine Förderung des Proteinabbaus und der Bereitstellung von Aminosäuren für die Gluconeogenese eine Erhöhung des Blutzuckerspiegels und eine vermehrte Glycogenbildung in der Leber. Auch sie werden zur Substitutionstherapie bei Nebennierenrindeninsuffizienz verwendet. Von größerer Bedeutung ist ihre therapeutische Verwendung wegen ihres antiphlogistischen, antiallergischen, antiexsudativen und immunsuppressiven Effekts. Glucocorticoide werden deshalb systemisch zur Behandlung von rheumatischen Erkrankungen und von Asthma sowie topisch bei verschiedenen Hauterkrankungen angewendet. Die wichtigsten natürlich vorkommenden Glucocorticoide sind Cortison und Hydrocortison (Cortisol).

Tab. 1. Nebennierenrindenhormone. Einige Mineralcorticoide.
| |||||
| Cortexolon | H | H | OH | H | |
| Desoxycorton | H | H | H | H | |
| Desoxycortonacetat | H | CH3CO | H | H | |
| Fludrocortisonacetat | OH | CH3CO | OH | F |

Tab. 2. Nebennierenrindenhormone. Einige Glucocorticoide.
| ||||||
| Prednisolon | OH | OH | H | H | H | |
| Triamcinolon | OH | OH | OH | F | H | |
| Dexamethason | OH | OH | CH3 | F | H | |
| Fluocinolacetonid | OH | -O-C(CH3)2-O- | F | F | ||
| Flumethasonpivalat | (CH3)3C-COO- | OH | CH3 | F | F |
Wenn Sie inhaltliche Anmerkungen zu diesem Artikel haben, können Sie die Redaktion per E-Mail informieren. Wir lesen Ihre Zuschrift, bitten jedoch um Verständnis, dass wir nicht jede beantworten können.