Lexikon der Biochemie: Nick Translation
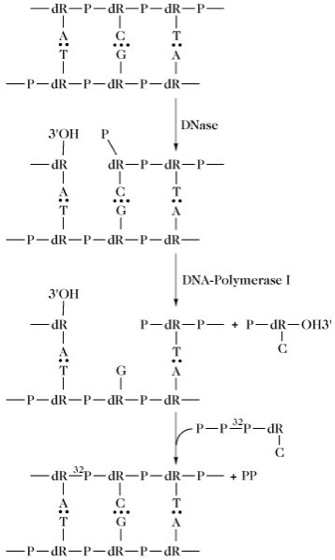
Nick Translation, ein Verfahren zur Herstellung von 32P-markierten DNA-Sonden für Hybridisierungstests. In diesem Zusammenhang bezieht sich der Begriff "Translation" nicht auf den Translationsprozess der Proteinsynthese, sondern auf die Translationsbewegung einer Spaltungsstelle bzw. eines Bruchs (engl. nick) entlang eines Duplex-DNA-Moleküls. Die Brüche werden durch eine stark eingeschränkte DNase-Behandlung an weit voneinander entfernten Stellen in die DNA eingefügt. Die gebildeten Schnittstellen weisen freie 3'OH-Gruppen auf. Anschließend werden mit Hilfe von E.-coli-DNA-Polymerase I gleichzeitig die 5'-Mononucleotidenden entfernt (5'→3'-Exonucleaseaktivität der Polymerase I) und die passenden Nucleotide aus 32P-markierten Desoxynucleosidtriphosphaten (α32P-dNTP, mit N = G, A, T oder C) eingebaut. In Gegenwart aller vier radioaktiv markierten Desoxynucleosidtriphosphate wird die Markierung schrittweise auf zufällige Weise in die Duplex inkorporiert, so dass die DNA letztendlich gleichmäßig markiert ist. Wenn nur eines der Desoxynucleosidtriphosphate markiert ist, wird das Markierungsmuster ungleichmäßig, besonders in Bezug auf Homopolymerbereiche (Abb.). [P.W.J. Rigby et al. J. Mol. Biol. 113 (1977) 237-251]

Nick Translation. Markierung der DNA mit 32P durch Nick Translation. Die Abbildung zeigt den Austausch eines einzigen Nucleotidrests. Bei der Nick Translation werden innerhalb eines DNA-Moleküls viele solcher Austauschprozesse durchgeführt. DR = 2'-Desoxyribose; PPi = anorganisches Pyrophosphat.
Wenn Sie inhaltliche Anmerkungen zu diesem Artikel haben, können Sie die Redaktion per E-Mail informieren. Wir lesen Ihre Zuschrift, bitten jedoch um Verständnis, dass wir nicht jede beantworten können.