Lexikon der Biochemie: Oleanolsäure
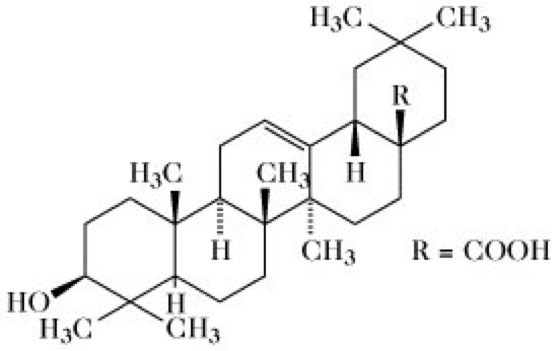
Oleanolsäure, pentazyklisches Triterpensapogenin, das sich vom β-Amyrin (Amyrin) ableitet (Abb.; Triterpene, Saponine). Mr 456,71, F. 310 °C, [α]D +80 ° (Methanol). O. ist Bestandteil von Saponinen, Harzen und einigen pflanzlichen Wachsen.

Oleanolsäure
Copyright 1999 Spektrum Akademischer Verlag, Heidelberg
Wenn Sie inhaltliche Anmerkungen zu diesem Artikel haben, können Sie die Redaktion per E-Mail informieren. Wir lesen Ihre Zuschrift, bitten jedoch um Verständnis, dass wir nicht jede beantworten können.