Lexikon der Biochemie: Phosphoinositol-Kaskade
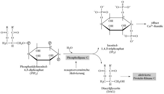
Phosphoinositol-Kaskade, ein wichtiges Signaltransduktionssystem für zahlreiche Hormone, das durch rezeptorvermittelte Hydrolyse von Phosphatidylinisitoldiphosphat (PIP2) zwei sekundäre Botenstoffe erzeugt. Die Wechselwirkungen zwischen dem Hormon und Rezeptor werden über das G-Protein Gp (GTP-bindende Proteine) weitergeleitet und aktivieren die membrangebundene Phospholipase C, die die Hydrolyse von PIP2 zu IP3 und DAG katalysiert (Abb.). Das wasserlösliche IP3 wandert zum ER und bewirkt dort als sekundärer Botenstoff in nanomolaren Konzentrationen die Freisetzung von Ca2+ aus intrazellulären Speichern in das Cytosol. Ca2+-Ionen stimulieren direkt oder über Calmodulin verschiedene biochemische Vorgänge (Glycogenabbau, Exocytose, Kontraktion glatter Muskeln u.a.). Die Lebensdauer dhs IP3 beträgt nur wenige Sekunden. Es wird durch sequenzielle Hydrolyse mittels Phosphatasen zum Inositol abgebaut oder zum Inositol-1,3,4,5-tetrakisphosphat phosphoryliert. Der zweite sekundäre Bote, das unpolare DAG bleibt membrangebunden und aktiviert dort die Protein-Kinase C (PKC); die wiederum phosphoryliert und reguliert verschiedene andere Proteine. Für die Aktivierung der PKC sind Phosphatidylserin (PS) und Ca2+-Ionen essenziell. Der ebenfalls schnelle Abbau des zweiten Boten DAG führt entweder zu Glycerin und den zugrunde liegenden Fettsäuren, wobei Arachidonsäure als Vorstufe für weitere Signalmoleküle (u.a. Prostaglandine) dient, oder es wird zur Phosphaditsäure phosphoryliert (s. Farbtafel).

Phosphoinositol-Kaskade. Rezeptorvermittelte Hydrolyse von Phosphatidylinositol-4,5-diphosphat unter Bildung der sekundären Botenstoffe IP3 und DAG (R, meistens Rest der Stearinsäure; R', meistens Rest der Arachidonsäure).
Wenn Sie inhaltliche Anmerkungen zu diesem Artikel haben, können Sie die Redaktion per E-Mail informieren. Wir lesen Ihre Zuschrift, bitten jedoch um Verständnis, dass wir nicht jede beantworten können.