Lexikon der Biochemie: Phytochrome
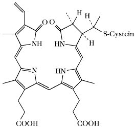
Phytochrome, eine Familie ubiquitärer Pflanzenpigmente, die im Cytosol lokalisiert sind und die Lichtempfindlichkeit vieler Wachstums- und Entwicklungsprozesse vermitteln ("Lichtsinnespigmente"). Die P. bestehen aus zwei Polypeptiden (jeweils Mr 120-127kDa), von denen jedes ein kovalent gebundenes Tetrapyrrolchromophor (Abb.) in der N-terminalen Domäne und Dimerisierungsdeterminanten in der C-terminalen Domäne trägt. Das Chromophor ist mit c-Phycocyanin verwandt, das in blaugrünen Bakterien vorkommt. Die P. kommen in zwei Formen vor: eines mit einem Lichtabsorptionsmaximum bei 660 nm (Pr) und eines, das bei 730 nm (Pfr) eine maximale Absorption aufweist.
Nach der Synthese liegen die P. in der vermutlich inaktiven Pr-Form vor. Wird Pr rotem Licht mit einer Wellenlänge von 660 nm ausgesetzt, wandelt es sich in Pfr die aktive und labilere Form, um. Bei einer Bestrahlung mit Licht der Wellenlänge 730 nm geht Pfr wieder in Pr über. Durch die Überführung in die Pfr-Form wird ein Signalstoff-Stoffwechselweg aktiviert, der anschließend Veränderungen der Genexpression bewirkt, die den physiologischen und entwicklungsbezogenen Reaktionen auf Licht unterliegt [P.H. Quail Curr. Opin. Genet. Dev. 4 (1994) 652; P.H. Quail Annu. Rev. Genet. 25 (1991) 389]. In Geweben, die im Dunkeln wachsen, sammelt sich Pr an.
Verschiedene P. üben unterschiedliche und spezialisierte Funktionen aus. Sie fördern oder hemmen Prozesse in Folge von Lichtabsorption (z.B. Schattenvermeidung, Samenkeimung, Deetiolement von Keimlingen, usw.). Beispielsweise ist in Arabidopsis-Keimlingen für die kontinuierliche Perzeption von Licht im langwelligen Rotbereich das P. A (PA) notwendig, wogegen für die kontinuierliche Rotlichtperzeption P. B (PB) benötigt wird. Die Schattenvermeidung von Grünpflanzen ist zum großen Teil auf die wechselseitigen antagonistischen Signale von PA und PB zurückzuführen, die als Antwort auf Rot- und langwelliges Rotlicht auftreten. Wenn PB durch Rotlicht aktiviert wird, induziert es Deetiolement (inhibiert das Hypokotyllängenwachstum), während die Absorption von langwelligem Rotlicht das PfrB in die inaktive Form zurückverwandelt. Das Licht, das einen aufgehenden Keimling im Schatten anderer Vegetationen erreicht, ist an Rotlicht verarmt, weil dieses vom Chlorophyll anderer Pflanzen im höhergelegenen Blätterdach bereits absorbiert wurde. Nur ein Keimling, der offenem Sonnenlicht ausgesetzt ist, erhält genügend Rotlicht. Infolgedessen verwenden Keimlinge, die im offenen Sonnenlicht aufgehen, PB zum Deetiolement, während Keimlinge im Schatten anderer Vegetationen PA einsetzen, bis sie das volle Licht erhalten und dann auf PB umschalten.

Phytochrome. Chromophor des Phytochroms. Es ist strukturell mit dem Chromophor von Phycocyanin (Phycobilisom) verwandt.
Wenn Sie inhaltliche Anmerkungen zu diesem Artikel haben, können Sie die Redaktion per E-Mail informieren. Wir lesen Ihre Zuschrift, bitten jedoch um Verständnis, dass wir nicht jede beantworten können.