Lexikon der Biochemie: Prostaglandine
Prostaglandine, eine Gruppe tierischer Hormone, die primär von der Arachidonsäure abstammen. Die P. sind strukturell und metabolisch mit den Leukotrienen und Thromboxanen verwandt. Alle P. können formal als Derivate der Prostansäure (die nicht natürlich vorkommt) angesehen werden. Diese und alle natürlichen P. enthalten einen Cyclopentanring, an dem trans-ständig zwei benachbarte aliphatische Ketten gebunden sind, von denen die eine mit einer Carboxygruppe endet (Abb. 1). Die größte Bedeutung haben P. der E- und F-Reihe. P. der E-Reihe (PGE) enthalten eine Oxofunktion am C9 und eine α-OH-Gruppe am C11. P. der F-Reihe (PGF) enthalten eine β-ständige OH-Gruppe am C11 und eine weitere OH-Gruppe am C9. Verbindungen beider Reihen haben eine OH-Gruppe am S-konfigurierten C15. Bei Verbindungen mit der Indexzahl 1, z.B. PGE1, ist eine 13-ständige Doppelbindung mit E-Konfiguration, bei Verbindungen mit der Indexzahl 2 zusätzlich eine 5-ständige Doppelbindung mit Z-Konfiguration vorhanden. Bei Verbindungen mit dem Buchstaben α an der Indexzahl ist die 9-ständige OH-Gruppe α-ständig, β bedeutet die β-Stellung der entsprechenden OH-Gruppe. Aus der PGE-Reihe gelangt man durch Einwirkung von Säuren in die PGA- und durch Einwirkung von Laugen in die PGB-Reihe.
Die P. finden sich ubiquitär in niedrigen Konzentrationen (<10-7ng/g) im tierischen Gewebe.
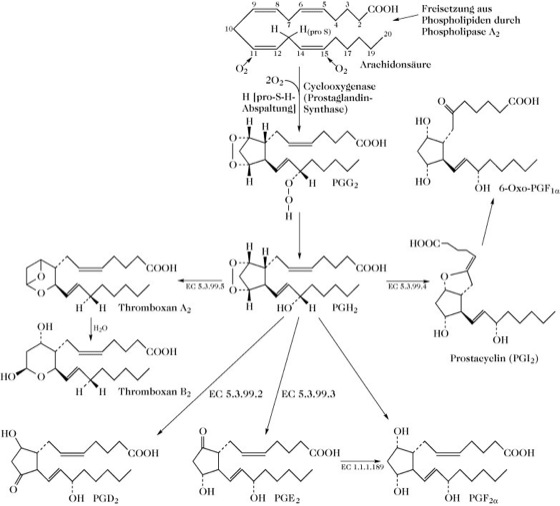
Die Biosynthese der P. wird durch einen Multienzymkomplex katalysiert (Abb. 2), der Prostaglandin-Synthase. Aus Arachidonsäure entstehen z.B. PGE2 und PGF2α. Zwischenprodukte sind dabei die durch Einwirkung von molekularem Sauerstoff in Gegenwart von P.-Cyclooxygenase gebildeten Prostaglandinendoperoxide GH2 und PGG2, letzteres mit zusätzlicher exozyklischer Hydroperoxidstruktur. Die Endoperoxide PGG2 und PGH2 sind zwar sehr aktiv, werden jedoch sehr schnell metabolisiert. PGH2 ist die Vorstufe sowohl von Prostacyclin (PGI2) als auch der Thromboxane. Ganz allgemein verhindern P. die Aggregation von Thrombocyten und die Gerinnung (bei hohen Konzentrationen), während die Thromboxane die Aggregation und Gerinnung fördern. Da PGI2 und die Thromboxane in begrenzter Menge aus einer gemeinsamen Vorstufe gebildet werden, stellt der Verzweigungspunkt eine wichtige Stelle für die homöostatische Regulation dar. Bei Säugetieren weisen die Blutplättchen, die vaskulären Muskeln und andere Zellen Rezeptoren für PGI2 auf. Diese Rezeptoren sind mit der Adenylat-Cyclase gekoppelt. Die Endothelzellen der Blutgefäße von Säugetieren produzieren PGI2 als Reaktion auf Verletzung oder Reizung. Bei Vögeln besitzen die Thrombocyten jedoch Rezeptoren für PGE2 und von den Endothelzellen wird mehr PGE2 als PGI2 gebildet [J.M. Ritter et al. Lancet (1983) 1-317]. Bei Säugetieren inhibiert PGI2 die Aggegration der Thrombocyten und bewirkt eine Erhöhung von Thrombocyten-cAMP. Bei Konzentrationen, die hoch genug sind, um die Adenylat-Cyclase zu aktivieren, hemmen PGI2, PGE oder PGD2 die Gerinnung; dagegen aktivieren diese PG bei Konzentrationen, die für eine Aktivierung der Cyclase zu niedrig sind, den Faktor X und initiieren damit die Blutgerinnung [A.K. Dutta-Roy et al. Science231 (1986) 385-388]. Die Wirkungen der verschiedenen P. in unterschiedlichen Geweben sind nicht identisch, beispielsweise ruft PGI2 Diarrhö hervor, PGE2 jedoch nicht. PGE1 und PGI2 regen die Adenylat-Cyclase in den Thrombocyten an, während Thromboxan A2 und PGH2 die Anregung hemmen.
Die meisten P. verursachen eine Kontraktion der glatten Muskulatur der Blutgefäße, des Verdauungstrakts und des Uterus, jedoch wirken PGH2 und PGI2 im Allgemeinen vasodilatatorisch. Die Beziehung der PG zu Entzündung und Schmerzen ist unklar, es ist jedoch mit hoher Wahrscheinlichkeit so, dass die entzündungshemmenden und schmerzlindernden Wirkungen von Aspirin auf eine Inhibierung der P.-Synthese zurückzuführen sind. Aspirin inhibiert die Thromboxansynthese bei niedrigeren Konzentrationen als sie für die Inhibierung der P.-Synthese erforderlich ist; deshalb verstärken niedrige Aspirinkonzentrationen Blutungen, indem sie den Stoffwechsel von PGH2 zu PHI2 und weg von den Thromboxanen verschieben. [S. Moncada u. J.R. Vane Pharmacological Rev. 30 (1979) 293-331; P.B. Curtis-Prior, Prostaglandins, an Introduction to their Biochemistry, Physiology and Pharmacology (North-Holland, 1976)]
Die P. zeigen vielfältige pharmakologische Wirkungen. Von besonderer Bedeutung sind: die bronchospasmolytische Wirkung (für die Behandlung des akuten Asthmaanfalls); die Kontrolle der Magensaftsekretion (Ulkustherapie); die im Antagonismus zu den Angiotensinen blutdrucksenkende und gleichzeitig diuretische Wirkung (zur Behandlung von essenziellem Hochdruck und Herz-Kreislauf-Erkrankungen); die Einleitung der Ovulation (z.B. bei Kühen, Schweinen und Schafen zur Brunstsynchronisation großer Tierherden); die Auslösung von Geburtswehen und die Wirkung als Abortiva [z.B. PGF2α (Dinoprost) und PGE2 (Dinoproston)]. Das aus PGH2 bzw. GGP2 unter Einwirkung der Prostacyclin-Synthetase entstehende Prostacyclin PGI2 hemmt die Thrombocytenaggregation und erweitert die Herzkranzgefäße. Das durch die Thromboxan-Synthetase gebildete, sehr kurzlebige Thromboxan A2 fördert dagegen die Thrombocytenaggregation und verengt die Herzkranzgefäße. Erste Erfolge auf dem Gebiet der Synthese stabilerer Prostacyclinanaloga und spezifischer Thromboxan-Synthetase-Inhibitoren sind erzielt worden.

Prostaglandine. Abb. 1. Wichtige Vertreter der Prostaglandine.

Wenn Sie inhaltliche Anmerkungen zu diesem Artikel haben, können Sie die Redaktion per E-Mail informieren. Wir lesen Ihre Zuschrift, bitten jedoch um Verständnis, dass wir nicht jede beantworten können.