Lexikon der Biochemie: Purinabbau
Purinabbau, Purinkatabolismus, aerob oder in speziellen Fällen anaerob verlaufende Reaktionen zum Abbau von Purinverbindungen durch Spaltung des Purinrings.
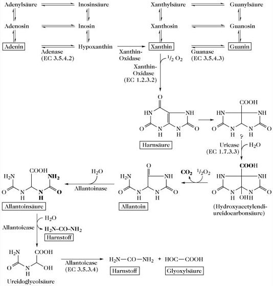
1) Aerober P. Die Aminogruppen des Adenins und des Guanins werden durch spezifische Desaminasen auf der Stufe des Nucleotids, des Nucleosids oder der freien Base hydrolytisch entfernt (Abb.). Durch Katalyse des Schlüsselenzyms des aeroben P. Xanthin-Oxidase (EC 1.2.3.2) entsteht Harnsäure. Beim Menschen und Menschenaffen wird sie meist unverändert im Harn ausgeschieden. Die meisten Reptilien und Säugetiere oxidieren Harnsäure mittels Uricase (EC 1.7.3.3) zu Allantoin (Uricolyse).
In anderen Organismen wird Allantoin durch Allantoinase zu Allantoinsäure umgesetzt, die nachfolgend einer zweistufigen Spaltung in ein Molekül Glyoxylat und zwei Moleküle Harnstoff unterliegt.
Bei den meisten Fischen und Amphibien endet der P. auf der Stufe des Harnstoffs.
Störungen im P. des Menschen können durch veränderte Enzymaktivitäten auftreten. Bei der angeborenen Stoffwechselkrankheit Xanthinurie fehlt die Xanthin-Oxidase, so dass statt Harnsäure Xanthin und Hypoxanthin ausgeschieden werden. Die Ursache für die Gicht ist die in der Folge einer erhöhten Purinbiosynthese gesteigerte Harnsäurekonzentration im Blut, die zur Ablagerung kristalliner Harnsäure in den Gelenken führt.
2) Anaerober P., anaerober Xanthinabbau. Substrat des nichtoxidativen P. in bestimmten Mikroorganismen, z.B. Micrococcus und Clostridium, ist Xanthin. Durch Hydrolyse zwischen C6 und N1 des sechsgliedrigen Xanthinrings entsteht Ureidoimidazolylcarbonsäure. Weitere hydrolytische Abspaltung von Ammoniak und CO2 führt zur Bildung von Aminoimidazolylcarbonsäure. Diese wird zu Aminoimidazol decarboxyliert. Der Ring von Aminoimidazol wird geöffnet, unter gleichzeitigem Verlust von Ammoniak und Addition von zwei Molekülen Wasser, wodurch Formiminoglycin entsteht. Letzteres wird zu Glycin, Ameisensäure und Ammoniak hydrolysiert.

Wenn Sie inhaltliche Anmerkungen zu diesem Artikel haben, können Sie die Redaktion per E-Mail informieren. Wir lesen Ihre Zuschrift, bitten jedoch um Verständnis, dass wir nicht jede beantworten können.