Lexikon der Biochemie: Purinbiosynthese
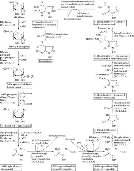
Purinbiosynthese, de-novo-Purinsynthese, ein allgemeiner Pfad zur Biosynthese des Purinringsystems, der auf allen Stufen der evolutionären Entwicklung vertreten ist. α-D-Ribose-5-phosphat wird pyrophosphoryliert zu 5-Phosphoribosyl-1-pyrophosphat. Die Pyrophosphatgruppe wird anschließend durch eine Aminogruppe ersetzt, welche aus der Amidgruppe von L-Glutamin übertragen wird. Der Stickstoff dieser Gruppe ist für das N9 des Purinringsystems vorgesehen. Die Ribosephosphatgruppe bleibt während der nachfolgenden enzymatisch katalysierten Stufen gebunden, die letztendlich zum vollständigen Purinringsystem führen. Die Purine werden also in Form ihrer Nucleosidmonophosphate synthetisiert. Das erste Produkt mit einem vollständigen Purinringsystem ist die Inosinsäure (Inosin-5'-monophosphat, IMP). Die Inosinsäure ist Ausgangspunkt für die Synthese weiterer Purinnucleotide. Alle Stufen der P. werden in Abb. 1 und die nachfolgenden Interkonversionen, die zur Synthese von AMP und GMP führen, in Abb. 2 (auf Seite 272) gezeigt.
Die Nucleosidmonophosphate werden durch zwei Kinase-Reaktionen in die Triphosphate (die direkten Vorstufen von RNA) überführt. Diese Kinasen sind wenig spezifisch. Sie katalysieren die Phosphorylierung von Adenin-, Guanin-, aber auch von Pyrimidinnucleotiden (Abb. 3). Ein weiterer Weg zur Synthese von Purinnucleotiden ist der Wiederverwertungsweg.
Die P. wird durch beide Endprodukte, AMP und GMP, reguliert, die beide die Phosphoribosylpyrophosphat-Amidotransferase (EC 2.4.2.14) gemeinsam inhibieren. GMP inhibiert ferner die IMP-Dehydrogenase (EC 1.2.1.14), AMP die Adenylsuccinat-Synthetase (EC 6.3.4.4). Die Biosynthese von AMP und GMP wird auch reguliert durch die wechselseitige Abhängigkeit der GMP-Biosynthese von ATP und der AMP-Synthese von GTP (Abb. 2). ATP inhibiert die GMP-Reduktase, die in einem Schritt GMP in IMP umwandelt.



Wenn Sie inhaltliche Anmerkungen zu diesem Artikel haben, können Sie die Redaktion per E-Mail informieren. Wir lesen Ihre Zuschrift, bitten jedoch um Verständnis, dass wir nicht jede beantworten können.