Lexikon der Biochemie: Puromycin
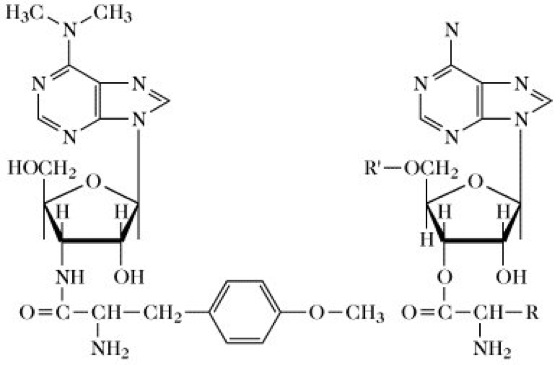
Puromycin, ein aus Streptomyces alboniger isoliertes Nucleosid-Antibiotikum (Mr 472Da). P. hemmt die Proteinbiosynthese an 70S- und 80S-Ribosomen. Der Wirkungsmechanismus des P. ist durch seine Strukturanalogie zur Aminoacyl-tRNA gegeben (Abb.), da P. an deren Stelle eine Peptidbindung mit dem COOH-Rest der vorangehenden, an Peptidyl-tRNA gekoppelten Aminosäure ausbilden kann (Fragmentreaktion). Die wachsende Polypeptidkette wird daraufhin vom Ribosom gelöst, weil das P. im Gegensatz zur tRNA-Struktur keine zusätzlichen Bindungsmöglichkeiten zum Ribosom aufweist. Nach ähnlichem Prinzip wirken andere Aminoacylnucleosidantibiotika, z.B. Gougerotin und Blasticidin S.

Puromycin. Vergleich der Strukturen von Puromycin (links) und dem 3'-terminalen Ende einer Aminoacyl-tRNA (rechts).
Wenn Sie inhaltliche Anmerkungen zu diesem Artikel haben, können Sie die Redaktion per E-Mail informieren. Wir lesen Ihre Zuschrift, bitten jedoch um Verständnis, dass wir nicht jede beantworten können.