Lexikon der Biochemie: Pyrrolochinolinchinon
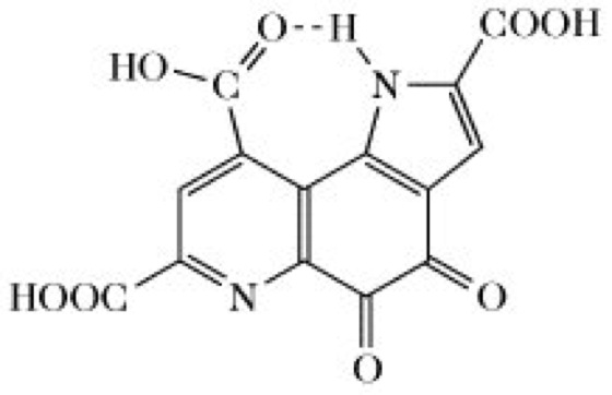
Pyrrolochinolinchinon, PQQ (engl. pyrrolo quinoline quinon), 2,7,9-Tricarboxy-1H-pyrrolo[2,3-f]chinolin-4,5-dion (Abb.), der Cofaktor der Methanol-Dehydrogenase (EC 1.1.99.8) aus Hyphomicrobium X und Methylophilus methylotrophus sowie der Glucose-Dehydrogenase (EC 1.1.99.17) aus Acinebacter calcoaceticus. [J.A. Duine et al. Eur. J. Biochem. 108 (1980) 187-192]

Pyrrolochinolinchinon
Copyright 1999 Spektrum Akademischer Verlag, Heidelberg
Wenn Sie inhaltliche Anmerkungen zu diesem Artikel haben, können Sie die Redaktion per E-Mail informieren. Wir lesen Ihre Zuschrift, bitten jedoch um Verständnis, dass wir nicht jede beantworten können.