Lexikon der Biochemie: Steviosid
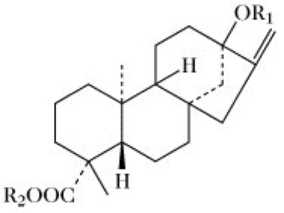
Steviosid, ein tetrazyklisches Diterpen aus dem für Paraguay endemischen Strauch Stevia rebaudiana. Mr 804Da, F. 196-198°C, [α]D -39,3° (c = 5,7, Alkohol). S. ist gleichzeitig ein Glycosid und ein Glucoseester (Abb.). Bei der enzymatischen Hydrolyse wird das Aglycon Steviol (R1, R2 = H), Mr 318Da, F. 215°C, [α]D -94,7° (Alkohol) erhalten. Bei der sauren Verseifung entsteht im Zuge einer Wagner-Meerwein Umlagerung der Ringe C und D das Isosteviol, F. 234°C, [α]D -78° (Alkohol). S. ist 300mal süßer als Rohrzucker und wäre ein idealer Süßstoff. Seiner Anwendung steht das geringe Aufkommen (etwa 65g S. aus 1kg getrockneter Blätter) entgegen. S. zeigt eine gibberellinähnliche wachstumsfördernde biologische Aktivität.

Steviosid. R1 = Glucose-Glucose, R2 = Glucose.
Wenn Sie inhaltliche Anmerkungen zu diesem Artikel haben, können Sie die Redaktion per E-Mail informieren. Wir lesen Ihre Zuschrift, bitten jedoch um Verständnis, dass wir nicht jede beantworten können.