Lexikon der Biochemie: Streptomycin
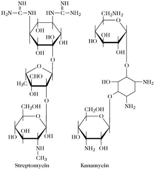
Streptomycin, ein aus Streptomyces griseus isoliertes Antibiotikum mit der Mr 581,6Da. S. ist chemisch ein Aminoglucosid, in dem das Disaccharid Streptobiosamin mit Streptidin glycosidisch verknüpft ist (Abb.). S. hemmt die Proteinbiosynthese an 70S-Ribosomen. Es wird an das 23S-core-Protein der ribosomalen 30S-Untereinheit gebunden. Dieses Protein spielt offenbar eine Rolle bei der korrekten Bindung von mRNA, die bei Anwesenheit von S. gestört ist. Ähnlich wie S. wirken die Aminoglucosidantibiotika Kanamycin (Abb.) und Neomycin sowie Paromomycin, Kasugamycin, Spectinomycin und Gentamycin. Alle werden in der Medizin therapeutisch eingesetzt.
S. war eines der ersten gegen Tuberkulose eingesetzten Antibiotika. Es ist jedoch nicht frei von toxischen Nebenwirkungen, z.B. treten Schädigungen des Gehörnerven (Nervus acusticus) auf. Die Totalsynthese des S. gelang einer japanischen Arbeitsgruppe 1974 (S. Umzewa und Mitarbeiter).

Streptomycin
Wenn Sie inhaltliche Anmerkungen zu diesem Artikel haben, können Sie die Redaktion per E-Mail informieren. Wir lesen Ihre Zuschrift, bitten jedoch um Verständnis, dass wir nicht jede beantworten können.