Lexikon der Biochemie: Tentoxin
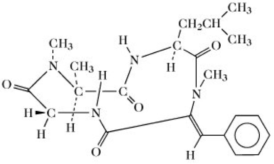
Tentoxin, ein zyklisches Tetrapeptid, das zu den Alternaria alternata-Toxinen zählt und in vielen Pflanzen Chlorose hervorruft (Abb.). Sensitiv für T. sind z.B. Salat, Kartoffeln, Gurken und Spinat, unempfindlich dagegen Nicotiana, Tomaten, Kohl und Rettich. Das Toxin bindet an den Chloroplastenkopplungsfaktor 1 (eine Toxinbindungsstelle je αβ-Untereinheitenkomplex) und inhibiert die Photophosphorylierung und die Ca2+-abhängige ATPase. Die Spezifität für bestimmte Spezies hängt mit der unterschiedlichen Bindungsaffinität für den Kopplungsfaktor 1 zusammen (1,3-20 × 10-7M für 50 %ige Inhibierung bei sensitiven Spezies und ein 20fach höherer Wert bei insensitiven Spezies).

Tentoxin
Copyright 1999 Spektrum Akademischer Verlag, Heidelberg
Wenn Sie inhaltliche Anmerkungen zu diesem Artikel haben, können Sie die Redaktion per E-Mail informieren. Wir lesen Ihre Zuschrift, bitten jedoch um Verständnis, dass wir nicht jede beantworten können.