Lexikon der Biochemie: Tetracycline
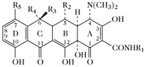
Tetracycline, eine Gruppe von Antibiotika aus verschiedenen Streptomyces-Arten. Die T. enthalten vier linear anellierte sechsgliedrige Ringsysteme als Grundstruktur und unterscheiden sich durch die verschiedenen Reste (R1 bis R5; Tab.).
T. hemmen die Proteinbiosynthese durch Blockierung der Bindung von Aminoacyl-tRNA an die Ribosomen. Die T. waren neben den Penicillinen die am meisten verwendeten Antibiotika. Sie wirken vor allem bei Bronchitis, Pneumonien sowie bei Gallen- und Harnwegsinfektionen, Pest und Cholera. Ein wichtiges Einsatzgebiet der T. ist die Tierernährung. Infolge Nebenwirkungen und ansteigender Resistenz gegenüber den Erregern ist der Einsatz der T. rückläufig.

Tetracycline. Tab. Wichtige Vertreter der Tetracycline.
| ||||||
| Chlortetracyclin (Aureomycin) | H | H | OH | CH3 | Cl | |
| Oxytetracyclin (Terramycin) | H | OH | OH | CH3 | H | |
| Tetracyclin | H | H | OH | CH3 | H | |
| Methacyclin (Rondomycin) | H | OH | CH2= | – | H | |
| Doxycyclin (Vibramycin) | H | OH | H | CH3 | H |
Copyright 1999 Spektrum Akademischer Verlag, Heidelberg
Wenn Sie inhaltliche Anmerkungen zu diesem Artikel haben, können Sie die Redaktion per E-Mail informieren. Wir lesen Ihre Zuschrift, bitten jedoch um Verständnis, dass wir nicht jede beantworten können.