Direkt zum Inhalt

Lexikon der Biochemie: Valerian-Alkaloide

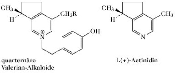
Valerian-Alkaloide, Terpen-Alkaloide mit Pyridingerüst (daher auch zu den Pyridinalkaloiden zählend) aus dem Baldrian (Valeriana officinalis L.). Die quartären V. (Abb.) sind an der erregenden Wirkung des Baldrians auf Katzen beteiligt.



Valerian-Alkaloide. Beispiele, R = H oder OH.

  • Die Autoren

Schreiben Sie uns!

Wenn Sie inhaltliche Anmerkungen zu diesem Artikel haben, können Sie die Redaktion per E-Mail informieren. Wir lesen Ihre Zuschrift, bitten jedoch um Verständnis, dass wir nicht jede beantworten können.

Partnerinhalte

Bitte erlauben Sie Javascript, um die volle Funktionalität von Spektrum.de zu erhalten.